Предмет: Математика,
автор: mixxxdima
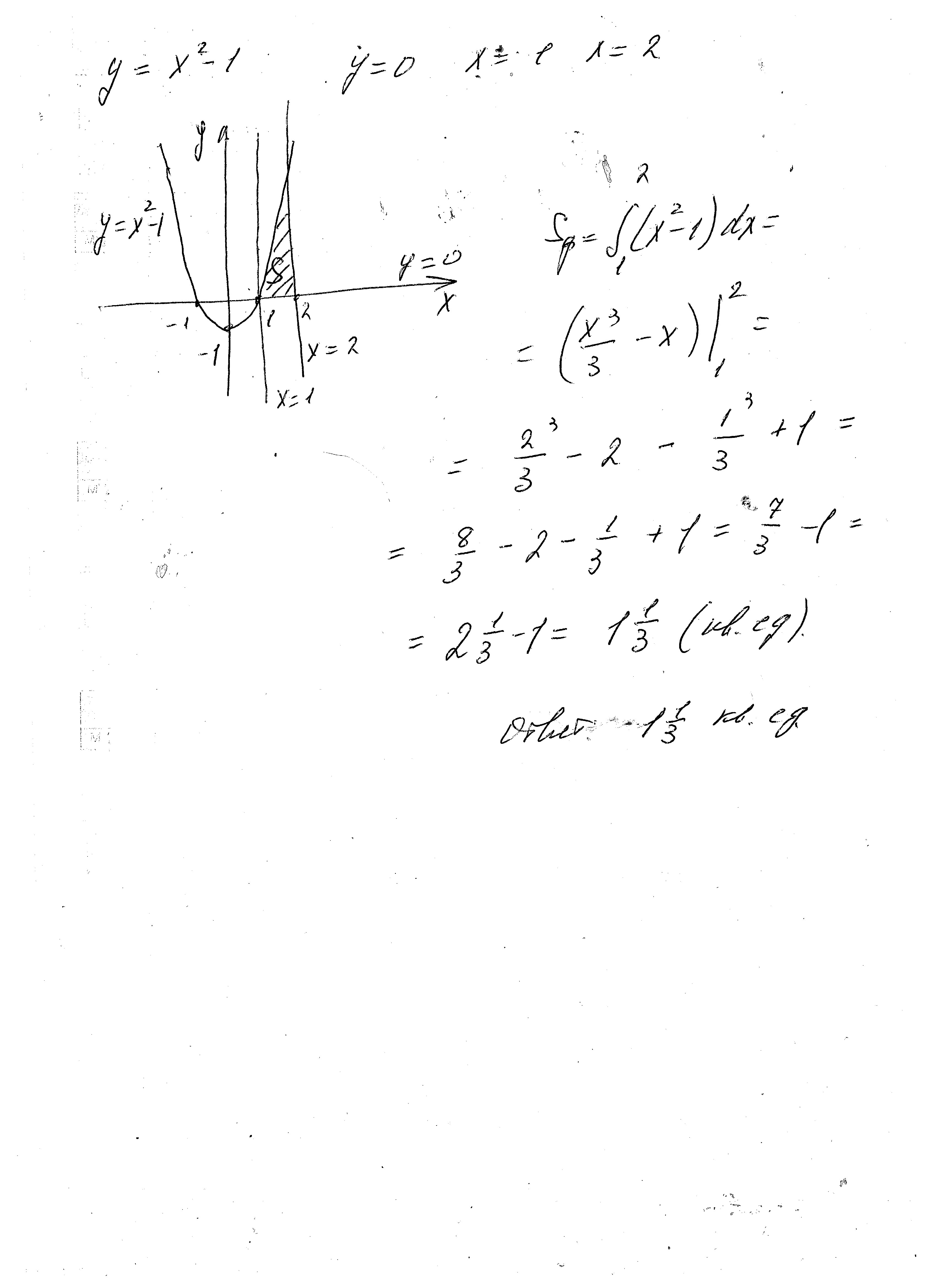
y=x^2-1 y=0 x=1 x=2
Дан просто пример я незнаю что с ним делать помогите плез
Ответы
Автор ответа:
0
Вам надо найти площадь фигуры, заключенной между указанными в задаче графиками функций.
Решение - в приложении
Решение - в приложении
Приложения:
Похожие вопросы
Предмет: Алгебра,
автор: Аноним
Предмет: Математика,
автор: Dashyta0Shadow
Предмет: Обществознание,
автор: dashaermakova091
Предмет: Физика,
автор: aliyazakirova2
Предмет: Математика,
автор: Викуся0003