Предмет: Алгебра,
автор: vutvu
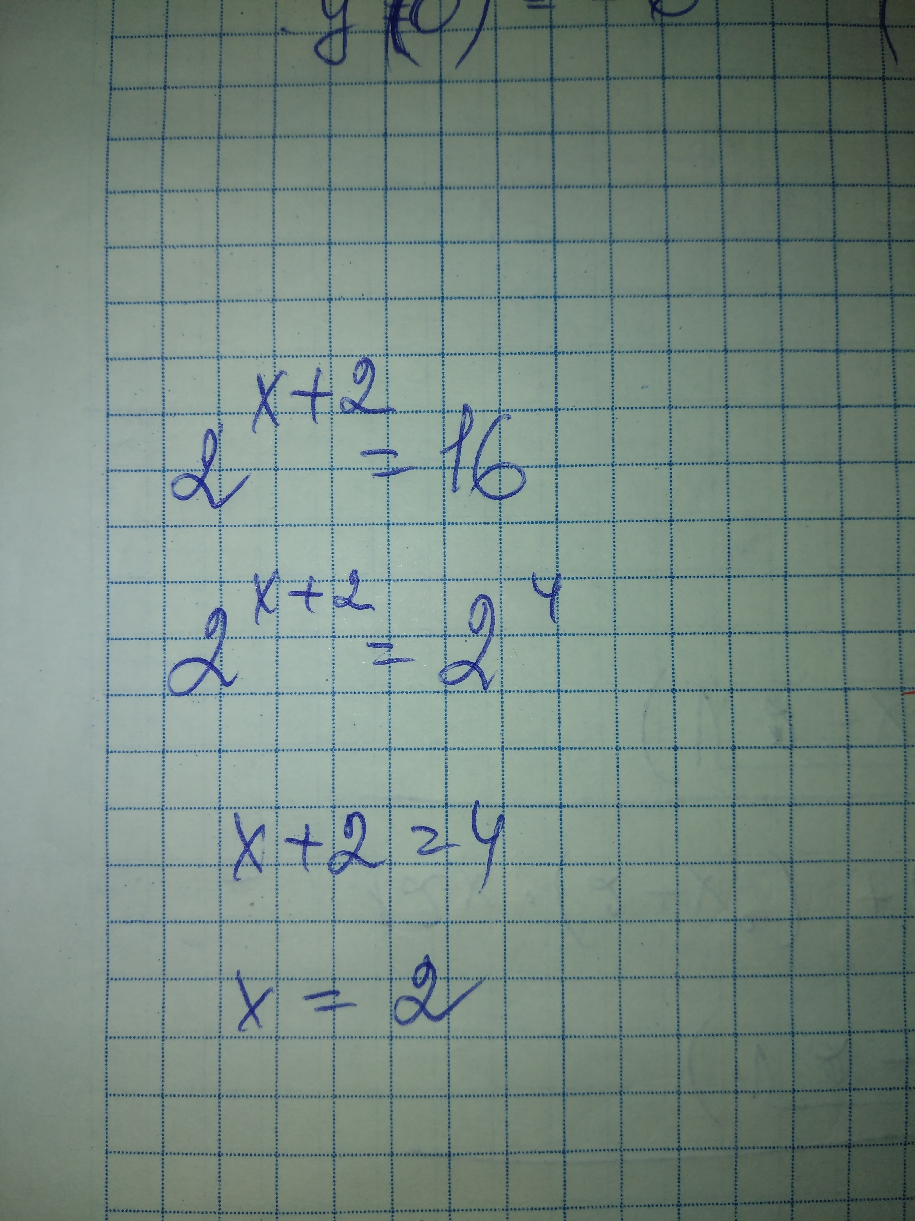
2^x+2 = 16 помогите!!!!!!!!!!
MizoriesKun:
Степень х+2 ?
Да
В скобки надо брать
Ответы
Автор ответа:
1
В приложении.............
Приложения:
Похожие вопросы
Предмет: Математика,
автор: Modasirabkadar
Предмет: Математика,
автор: Аноним
Предмет: Русский язык,
автор: BreiBoroda
Предмет: Математика,
автор: andrejjbojarov
Предмет: Обществознание,
автор: настя555555555551