Предмет: Алгебра,
автор: merkuseva47
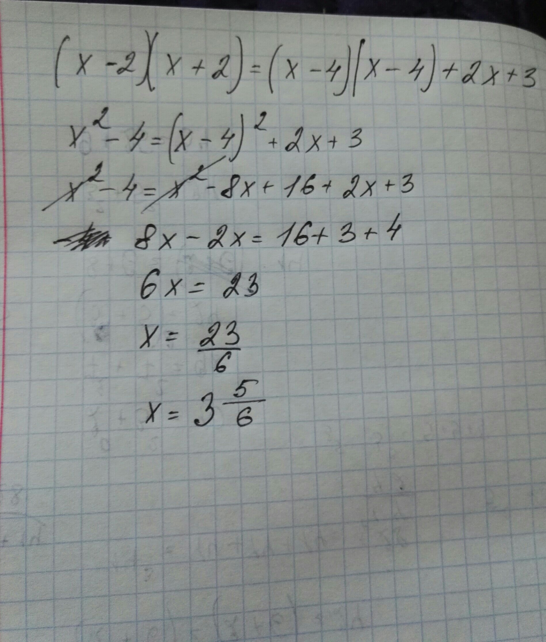
(x-2)(x+2)=(x-4)(x-4)+2x+3
Ответы
Автор ответа:
0
решение на фото......
Приложения:
Похожие вопросы
Предмет: Геометрия,
автор: abdusalomovdaniil
Предмет: Экономика,
автор: Jizimin
Предмет: Русский язык,
автор: sosninnikita9
Предмет: Физика,
автор: slideback