Предмет: Математика,
автор: llijipot
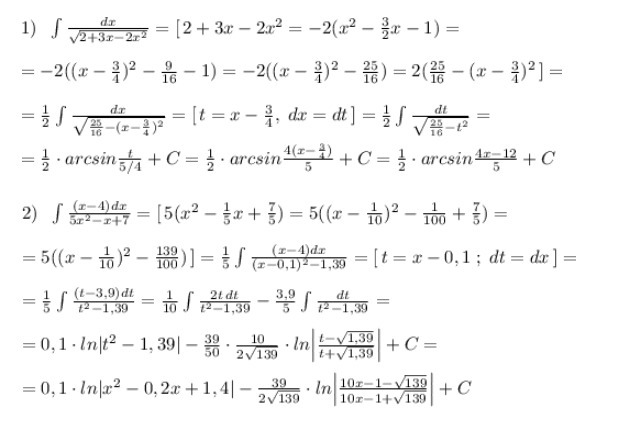
Интеграл xdx/sqrt(2+3x-2x^2)
Интеграл ((x-4)dx)/(5x^2-x+7)
Ответы
Автор ответа:
1
......................................................................................................................................................
Приложения:
Похожие вопросы
Предмет: Биология,
автор: ewwwwwmeow
Предмет: Алгебра,
автор: kgxgjxjxj
Предмет: Українська мова,
автор: alinadurickaa
Предмет: Алгебра,
автор: МудраяЛуна
Предмет: Алгебра,
автор: ruslansalkaev