Предмет: Алгебра,
автор: Sergeysobaka
Найти корни уравнений:
1. x^3 - 133*x - 132 = 0
2. x^3 - 4*x^2 - 53 x + 168 = 0
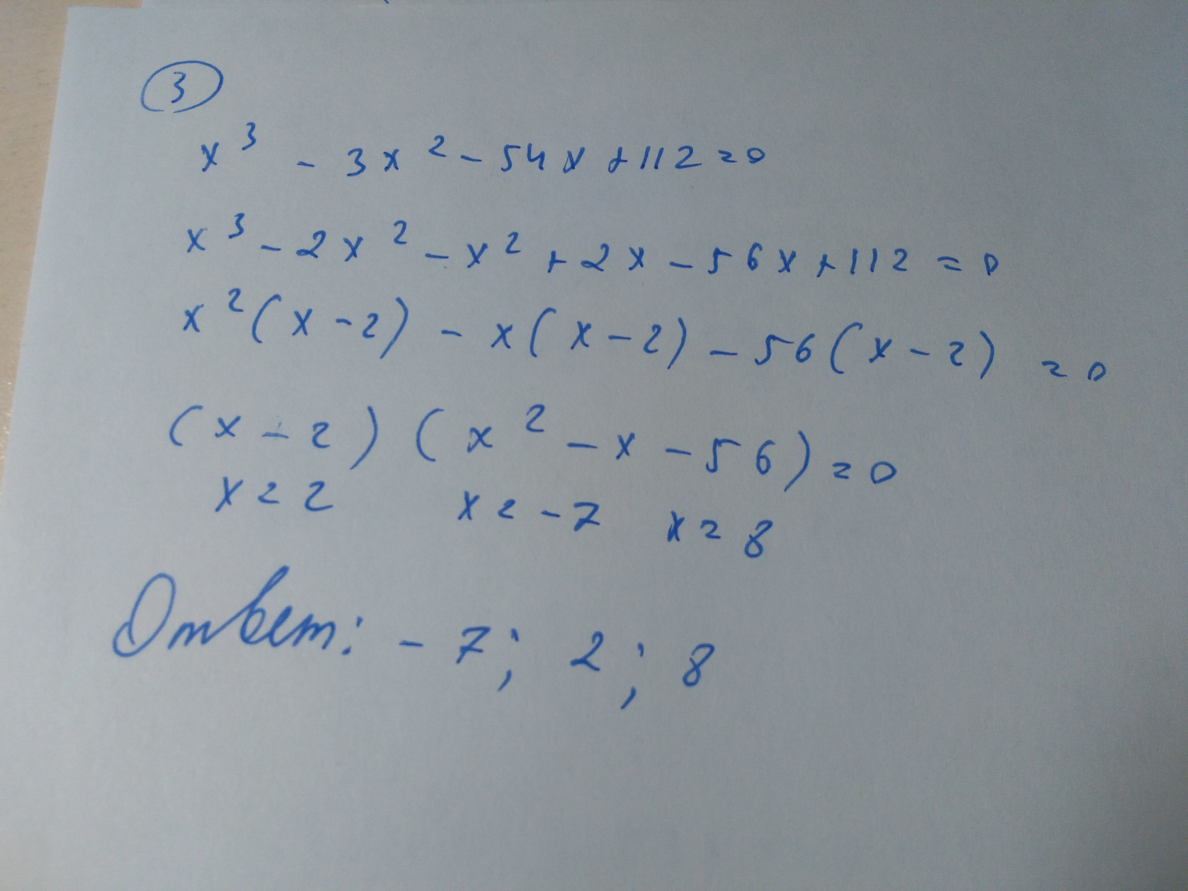
3. x^3 - 3*x^2 - 54 x + 112 = 0
Ответы
Автор ответа:
0
решение уравнений находится ниже
Приложения:
Автор ответа:
0
Решено
Приложения:
Похожие вопросы
Предмет: Математика,
автор: natalaplatonova429
Предмет: Геометрия,
автор: SanthetShimmer684
Предмет: Математика,
автор: MK76597
Предмет: Алгебра,
автор: paninadiana15
Предмет: Математика,
автор: HappyTown1