Предмет: Алгебра,
автор: genia106
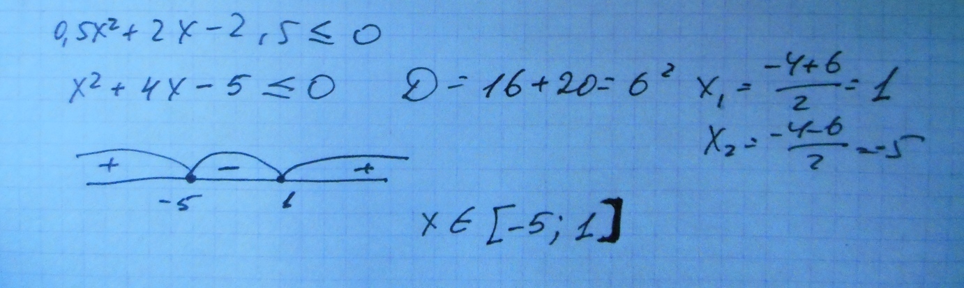
0.5х²+2х-2.5
0
Ответы
Автор ответа:
1
вторая скобка тоже квадратная, не очень красиво получилась
Приложения:
Похожие вопросы
Предмет: География,
автор: pervuhina79
Предмет: Математика,
автор: suprunluba345
Предмет: География,
автор: kirasited
Предмет: Математика,
автор: Пуговка111111
Предмет: Математика,
автор: Sd5543