Предмет: Алгебра,
автор: TimaTimo
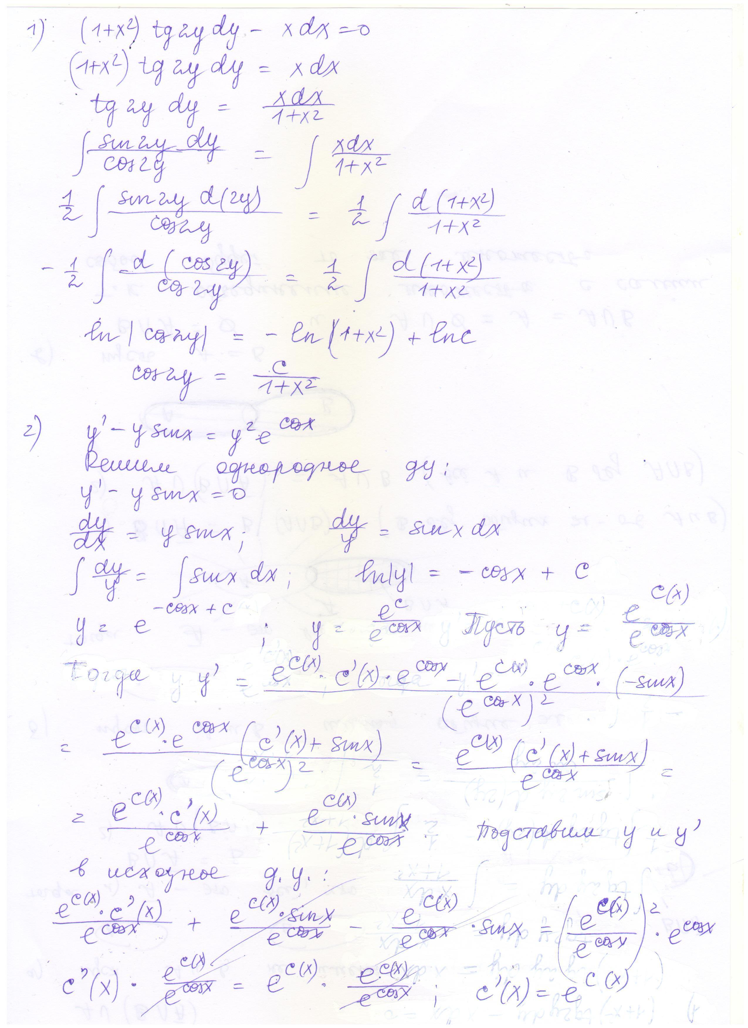
Решить Дифференциальные уравнения
Приложения:
Ответы
Автор ответа:
0
Смотри приложенное решение
Приложения:
Похожие вопросы
Предмет: Литература,
автор: AnastasiaAbulkhanova
Предмет: Математика,
автор: baranov2020
Предмет: Другие предметы,
автор: zepetohouse24
Предмет: Обществознание,
автор: лейс2