Предмет: Алгебра, автор: dkuday

вычеслите неопределённый интеграл (1-6x)*e^(2x)

Ответы

Автор ответа: artalex74
0
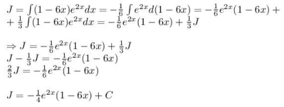
J=\int (1-6x)e^{2x}}dx=- \frac{1}{6} \int e^{2x}}d(1-6x)= - \frac{1}{6}e^{2x}(1-6x)+\\
+ \frac{1}{3} \int (1-6x)e^{2x}}dx=- \frac{1}{6}e^{2x}(1-6x)+\frac{1}{3}J\\ \\
\Rightarrow J = - \frac{1}{6}e^{2x}(1-6x)+\frac{1}{3}J\\
J-\frac{1}{3}J = - \frac{1}{6}e^{2x}(1-6x)\\ 
\frac{2}{3}J = - \frac{1}{6}e^{2x}(1-6x)\\ \\
J= - \frac{1}{4}e^{2x}(1-6x) + C
Приложения:
Похожие вопросы
Предмет: География, автор: Mila4576426