Предмет: Химия,
автор: Lebensinhalt
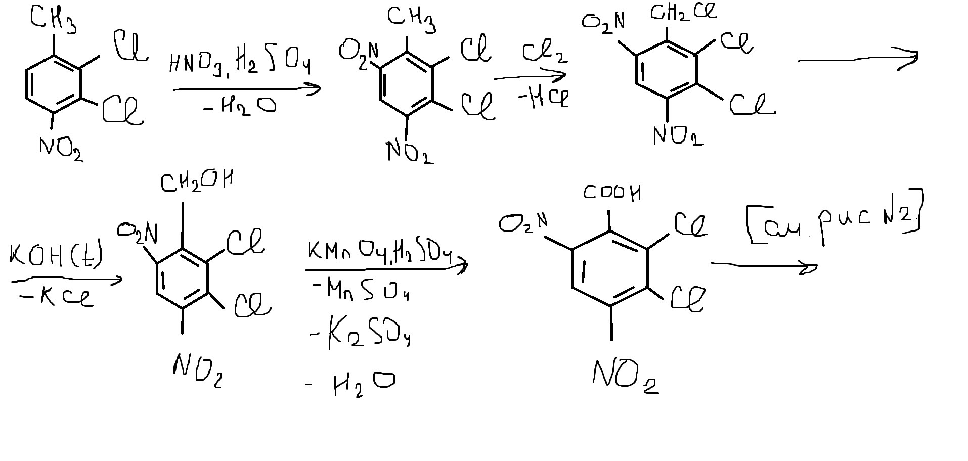
2,3-дихлор-4-нитротолуол последовательно обработали следующими реагентами:
1) Смесью HNO3 и H2SO4(конц.) (t)
2) Хлором в количественном соотношении 1:1 при освещении УФ светом
3) Водным раствором KOH
4) Раствором KMnO4 (H2SO4) при t
5) Этанолом в присутствии H2SO4
6) Железом в HCl
7) Холодным раствором KOH
ТКУиК9ks11:
В чём вопрос то? Строение всех написать?
Реакции все написать
Это цепочка, по сути
cейчас
Ответы
Автор ответа:
1
В пэинте рисовал, если что не понятно - пиши.
Приложения:
Похожие вопросы
Предмет: Українська мова,
автор: dzonidzondh
Предмет: Литература,
автор: fffgghhgffghhk
Предмет: Математика,
автор: 777RomaPRO
Предмет: Математика,
автор: Аноним
Предмет: Математика,
автор: Валерия2003111111