Предмет: Физика,
автор: balinleonid
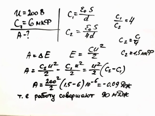
Плоский воздушный конденсатор емкостью 6мкФ заряжен до напрежения 200 В и отключен от источника. Пластины медленно раздвигают, увеличивают расстояние между ними в 4 раза. Какую работу (в мДж) при этом совершают?
Ответы
Автор ответа:
3
Плоский воздушный конденсатор емкостью 6мкФ заряжен до напрежения 200 В и отключен от источника. Пластины медленно раздвигают,
Приложения:
Похожие вопросы
Предмет: География,
автор: angelaizat1986
Предмет: Химия,
автор: tigrtipdjjdhcy
Предмет: Русский язык,
автор: Kurt00
Предмет: Геометрия,
автор: zheniakireev20
Предмет: Литература,
автор: ASIKASIK555666