Предмет: Алгебра,
автор: stepangood
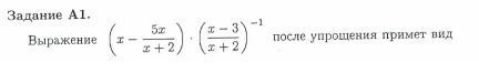
варианты ответа:
1) 
2) x
3) 3x
4) 
5)
Приложения:
Ответы
Автор ответа:
0
таким образом, ответ 2
Приложения:
Похожие вопросы