Предмет: Математика,
автор: baffo01
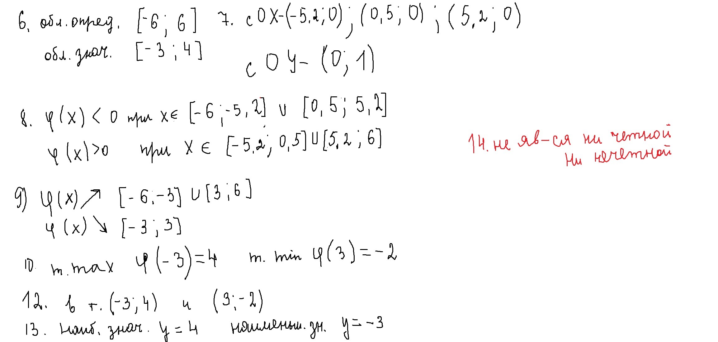
помогите пожалуйста с 6-12,14
СРОЧНО ОЧЕНЬ кто сколько может,даже если на один,два вопроса ответите,и то спасибо
Приложения:
Ответы
Автор ответа:
1
решение смотри внизу,сделала-что вспомнила.
Приложения:
Похожие вопросы
Предмет: Биология,
автор: Vibe0
Предмет: Химия,
автор: nwer1n
Предмет: Английский язык,
автор: zoldatop
Предмет: Математика,
автор: Almaznik1999
Предмет: География,
автор: НяшаПриняша