Предмет: Физика,
автор: ANDKURSK
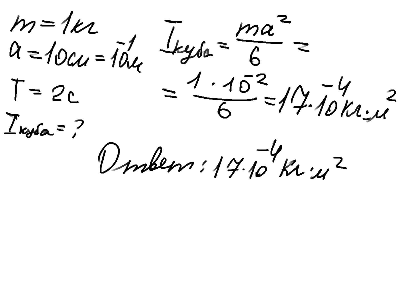
Куб массы 1 кг с ребром 10 см подвешен за один из его углов и совершает гармонические колебания с периодом 2 с. Найдите момент инерции куба относительно оси колебаний.
Ответы
Автор ответа:
1
Подставляем значения в формулу момента инерции куба и находим.
Приложения:
Похожие вопросы
Предмет: Алгебра,
автор: mulaevaamina233
Предмет: Алгебра,
автор: requiemofsouls
Предмет: Геометрия,
автор: sofipivovaro04
Предмет: Обществознание,
автор: Malboro22