Предмет: Алгебра,
автор: 2KyrieIrving2
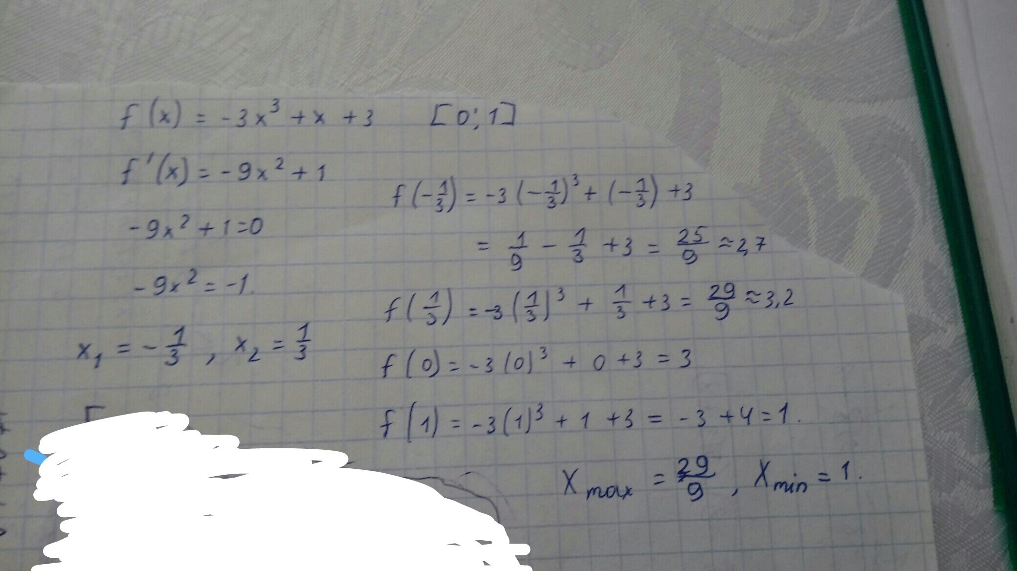
Найдите наибольшее и наименьшее значения функции f(x)=-3x^3+x+3 на отрезке [0;1]
Ответы
Автор ответа:
1
наибольшее значение 29/9
наименьшее значение 1
наименьшее значение 1
Приложения:
2KyrieIrving2:
От куда взялась -1/3 ???
от этого: -9х^2=-1
Похожие вопросы
Предмет: Физика,
автор: xczvasfasdfs
Предмет: Другие предметы,
автор: daryatyameeva
Предмет: Математика,
автор: aleksandrturutin2009
Предмет: Математика,
автор: Vermarmil5
Предмет: Физика,
автор: janeevtushenko