Предмет: Геометрия,
автор: Lizzza190
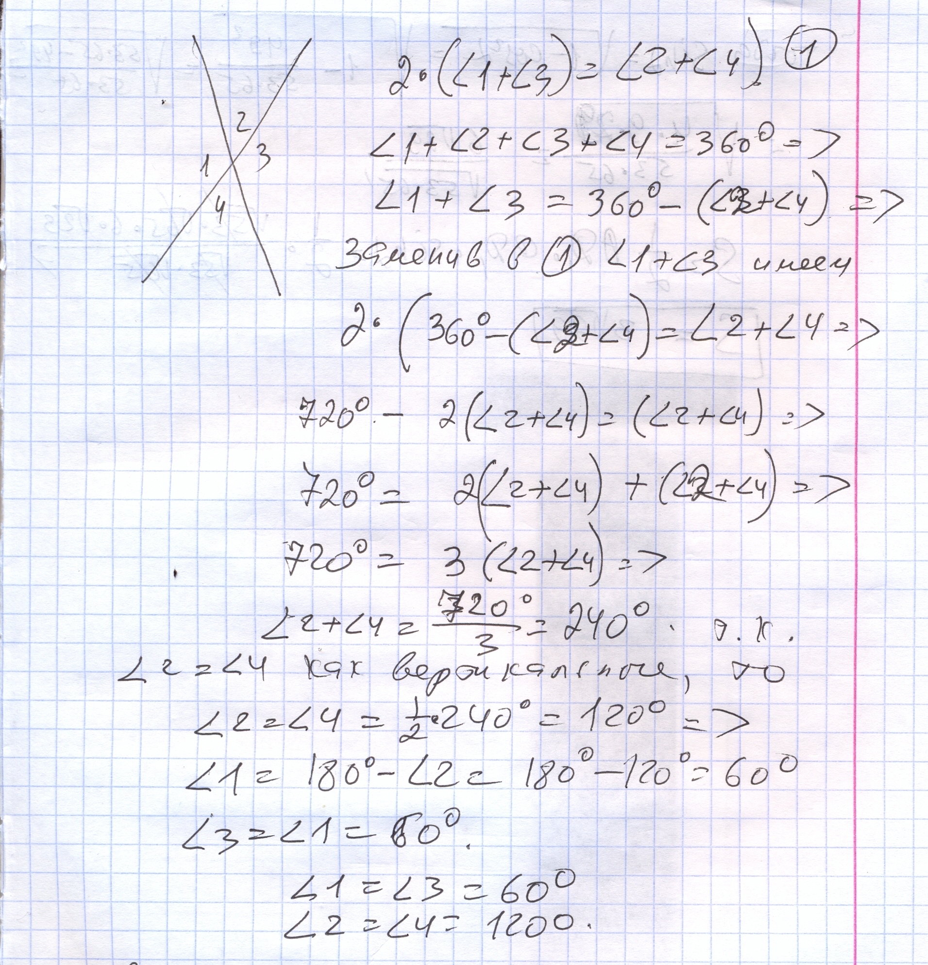
Вертикальные углы, помогите пожалуйста (см. фото)
Приложения:
Ответы
Автор ответа:
0
Вертикальные углы,
Долгий, но понятный способ.
Долгий, но понятный способ.
Приложения:
Похожие вопросы
Предмет: Английский язык,
автор: maximka436436436
Предмет: Физика,
автор: hzkto9020
Предмет: Українська мова,
автор: PoPeXmAxEr
Предмет: Математика,
автор: лиля132
Предмет: Математика,
автор: али169