Предмет: Математика,
автор: anastasiaveselp6rbdr
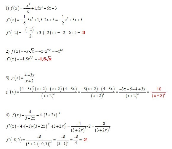
Высшая математика. Помогите решить, пожалуйста. Нужно с решением все 4 задания.
Приложения:
Ответы
Автор ответа:
1
Решение во вложении.
Приложения:
Автор ответа:
1
Вот решение
Во вложении
Во вложении
Приложения:
Похожие вопросы
Предмет: Физика,
автор: romamalosik
Предмет: Математика,
автор: theBublochka
Предмет: Химия,
автор: kareemmohammedh7739
Предмет: Математика,
автор: Юляня13
Предмет: Физика,
автор: elinka31