Предмет: Алгебра,
автор: vladislavdzhys1
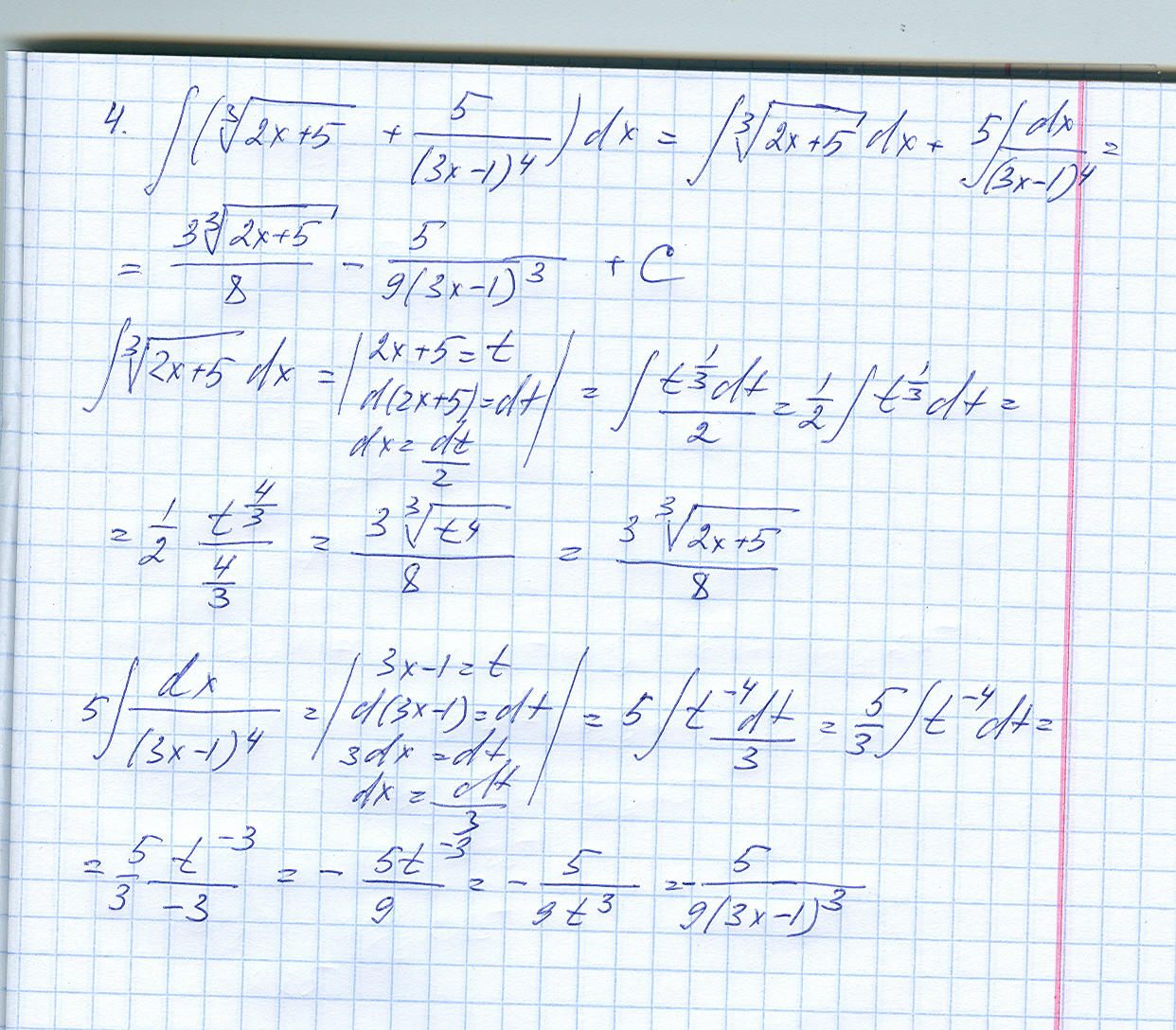
Помогите решить интегралы,вроде сверядом с формулами,но четверг не помогает(мозгов не хватает)
Приложения:
Ответы
Автор ответа:
1
решение интегралов находится ниже
Приложения:
Похожие вопросы
Предмет: География,
автор: professional65
Предмет: Русский язык,
автор: pfeda9966
Предмет: Русский язык,
автор: vasilevayana0856
Предмет: Алгебра,
автор: QueenC
Предмет: Математика,
автор: olgalemeshko