Предмет: Алгебра,
автор: fedosovtima
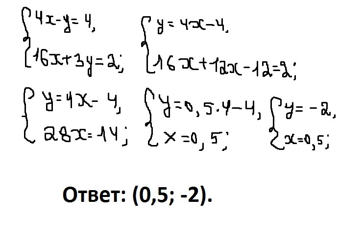
4x-y=4 16x+3y=2 помогите !!!!!!!!!!!!
Ответы
Автор ответа:
1
Решение во вложении.........................................................................................
Приложения:
Похожие вопросы
Предмет: Математика,
автор: 84xfm5558c
Предмет: Математика,
автор: dobrinavitalina
Предмет: Українська мова,
автор: mishazharko1997
Предмет: Физика,
автор: mmarhel80
Предмет: Химия,
автор: Dasha10223