Предмет: Алгебра,
автор: cюм
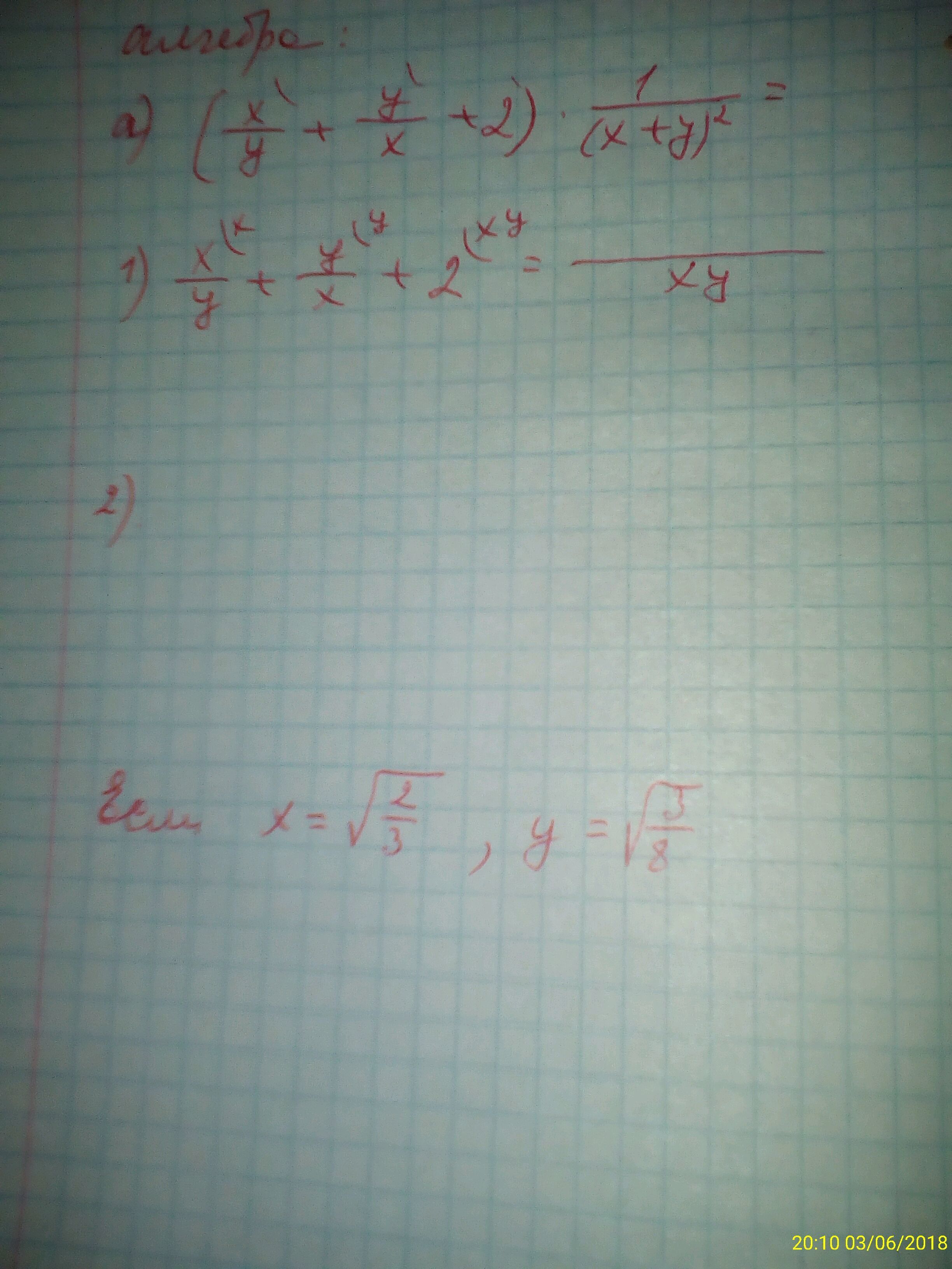
Надо решить по дейстиям и продолжить дальше.
Приложения:
Ответы
Автор ответа:
1
!!!!!!!!!!!!!!!!!!!!!!!!!!!
Приложения:
Похожие вопросы
Предмет: Математика,
автор: evakostikan392
Предмет: Математика,
автор: darakaraseva280
Предмет: Русский язык,
автор: haharolop567
Предмет: Биология,
автор: alekseimarkovka
Предмет: Алгебра,
автор: зоч2