Предмет: Алгебра, автор: slaim12

Сократите дробь х-6√x√y+9y/x-9

Ответы

Автор ответа: Maryruti789
2
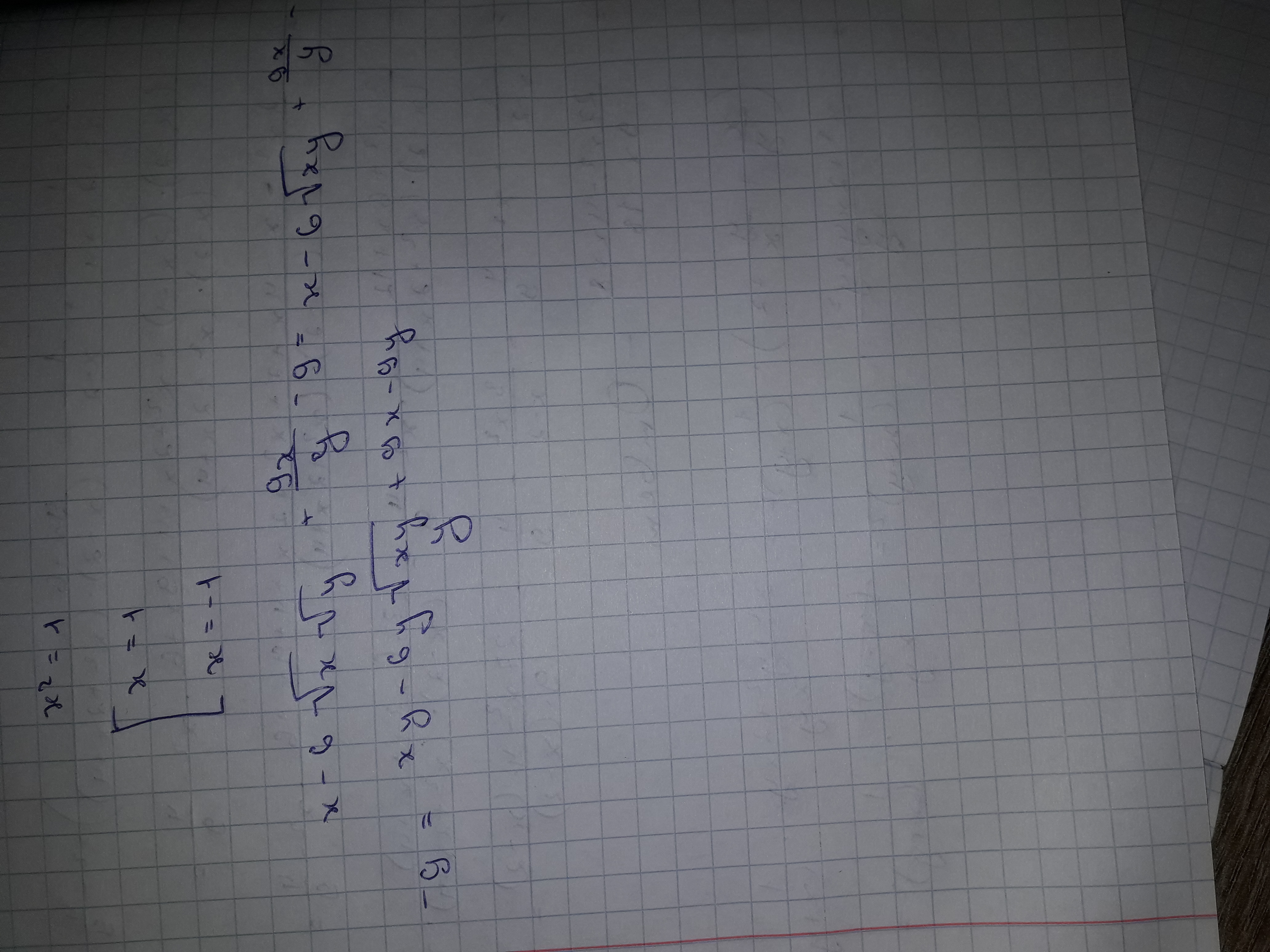
Вот ответ на фото , извини линию дроби забыла
Приложения:
Автор ответа: zinaidazina
4
 \frac{x-6 \sqrt{x}  \sqrt{y} +9y}{x-9y} = \frac{( \sqrt{x} -3 \sqrt{y} )^2}{( \sqrt{x} -3 \sqrt{y} )( \sqrt{x} +3 \sqrt{y} )} = \frac{ \sqrt{x} -3 \sqrt{y} }{ \sqrt{x} +3 \sqrt{y} }
Похожие вопросы
Предмет: Химия, автор: klimentevaleksandor2