Предмет: Другие предметы,
автор: ndima03
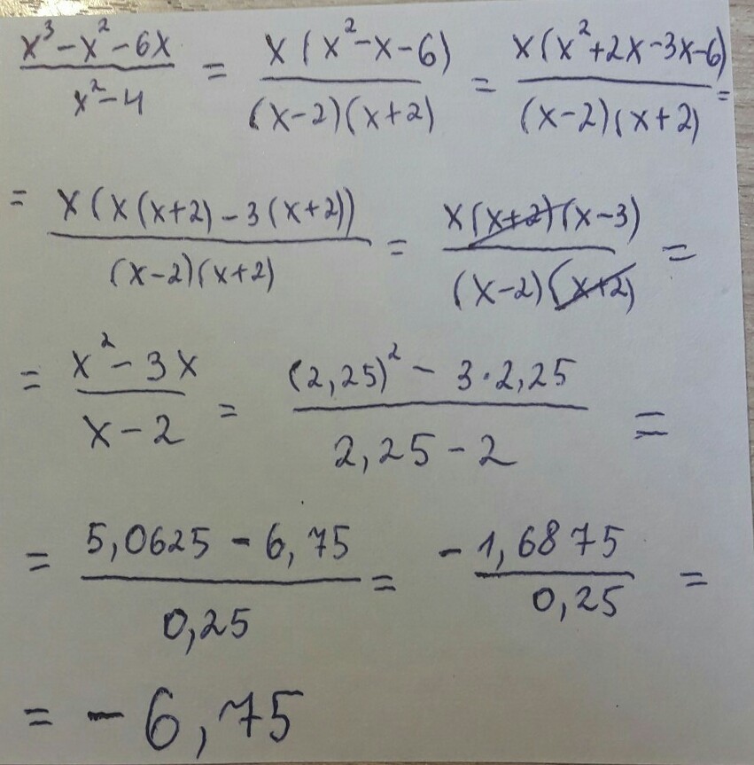
Помогите решить номер 12
Приложения:
Ответы
Автор ответа:
10
Решение на фотографии
Приложения:
Похожие вопросы
Предмет: Математика,
автор: incierika
Предмет: Математика,
автор: dasha565911715
Предмет: Английский язык,
автор: Daline29
Предмет: Математика,
автор: дешка4