Предмет: Алгебра,
автор: aidowka22p0ouhd
Упростите выражение:
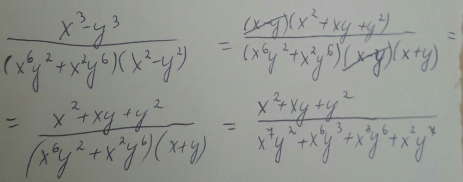
x^3 -y^3/(х^6 у^2 + х^2 y^6 ) ( x^2 -y ^2 ) Помогите пожалуйста
Ответы
Автор ответа:
2
Решение на фотографии
Приложения:
Похожие вопросы
Предмет: Математика,
автор: leron90
Предмет: Математика,
автор: voroncovd88
Предмет: Физика,
автор: kirillkonakov53
Предмет: Математика,
автор: макс239
Предмет: Химия,
автор: nasta114