Предмет: Алгебра,
автор: popredloj228
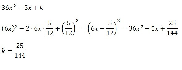
Скажите пж, откуда взялось тут 5/12?
Приложения:
popredloj228:
Заменить K одночленом так чтобы получился квадрат двучлена
Спасибо.
Ответы
Автор ответа:
0
5x представили в виде 2*6x*5/12 = 2*5x/2=5x
Похожие вопросы
Предмет: Русский язык,
автор: eugeniodepez
Предмет: Українська література,
автор: katrinslob008
Предмет: Литература,
автор: Berkut24
Предмет: Математика,
автор: KsennMel