Предмет: Математика,
автор: Аноним
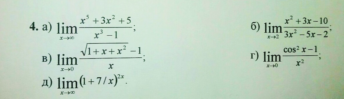
Помогите решить пожалуйста пределы, даю 50 б. Плииииииз! Срочно!
Приложения:
Ответы
Автор ответа:
1
а) ответ бесконечность. так как есть правило: если в числителе наибольшая степень х (в данном случае х^5) больше наибольшей степени в знаменателе (в данном случае x^3), то ответ будет равен бесконечности
Приложения:
battaldar:
я с этими косинусами сама мучаюсь. у меня тоже здесь вопрос висит на пределы. тоже проходим сейчас
поэтому извини, но г я решить не могу (((
Похожие вопросы
Предмет: Биология,
автор: azajceva707
Предмет: Биология,
автор: kristina446702
Предмет: Русский язык,
автор: artemfrouk160998
Предмет: Математика,
автор: bilykdavydenko8
Предмет: Литература,
автор: Глушак