Предмет: Геометрия,
автор: time0000timep9ju3c
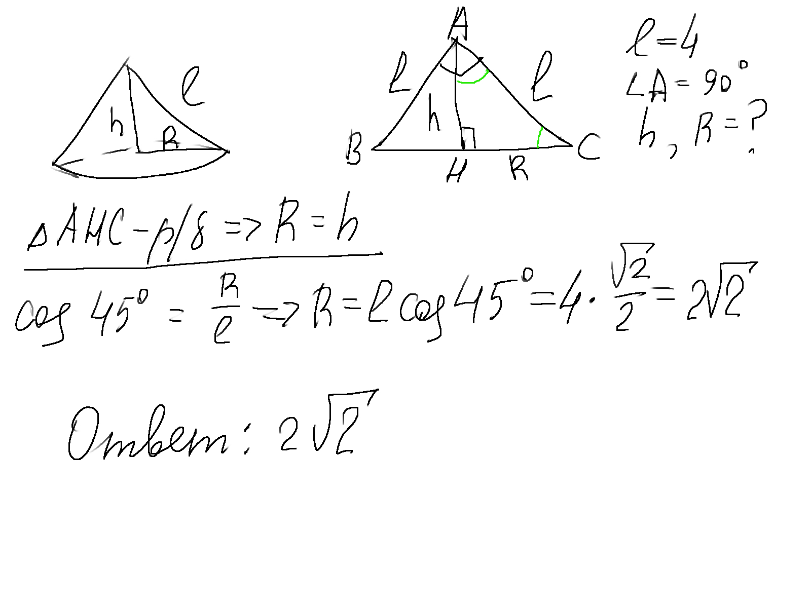
Образующая конуса 4 м, угол при вершине равен 90 градусов, найти R и h конуса
Ответы
Автор ответа:
1
Для удобства рассмотрим поперечное сечение конуса(справа). Треугольник AHC - равнобедренный,следовательно R и H равны. Из формулы косинуса находим R и соответственно H.
Приложения:
Похожие вопросы
Предмет: Алгебра,
автор: elkinaam
Предмет: Геометрия,
автор: anenhaseyo0
Предмет: Английский язык,
автор: nikaaaaa2008
Предмет: Математика,
автор: isi3