Предмет: Математика,
автор: marinkasolova
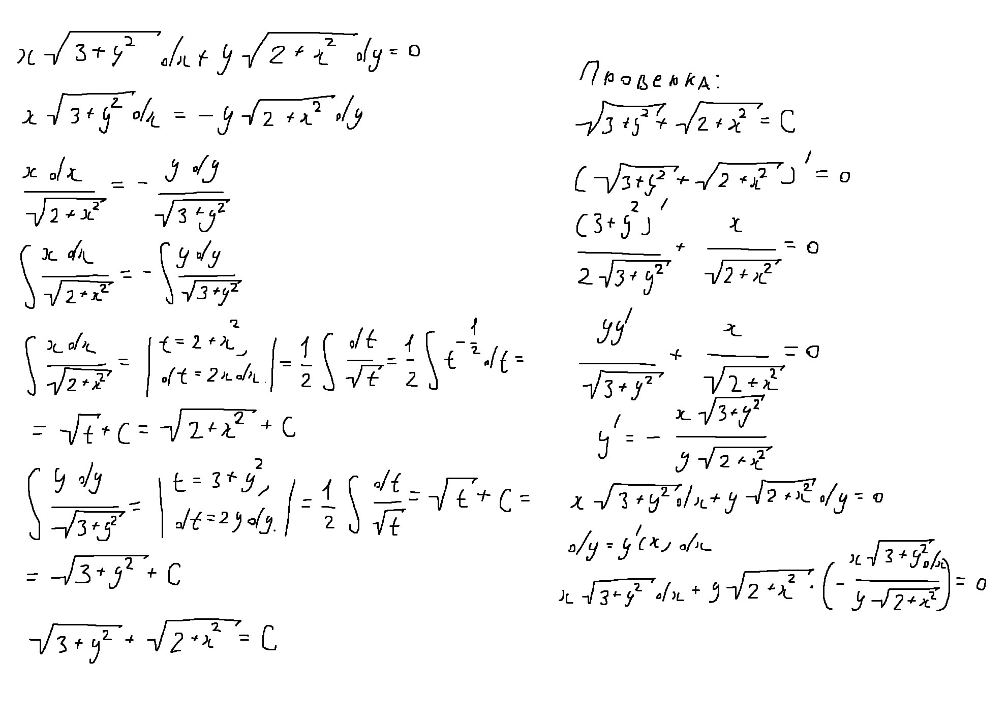
Помогите решить под цифрой 6!!!!
Приложения:
Ответы
Автор ответа:
1
Решение - √(3+y²)+√(2+x²)=C
Приложения:
Похожие вопросы
Предмет: Математика,
автор: bagimavomedova123
Предмет: Українська мова,
автор: matrioshkamashaaa
Предмет: Биология,
автор: takca336
Предмет: Математика,
автор: faer2003