Предмет: Математика,
автор: antha47
Решение логарифмических и показательных уравнений.
Приложения:
Ответы
Автор ответа:
0
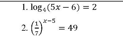
Простейшие случаи.
Решение уравнения (1), непосредственно, через определение логарифма.
Решение уравнения (2) по принципу приведения равных оснований у выражений в обеих частях.
Решение уравнения (1), непосредственно, через определение логарифма.
Решение уравнения (2) по принципу приведения равных оснований у выражений в обеих частях.
Приложения:
maksimcat:
16+6=22,а не 24.,.
По аналогии.
Похожие вопросы
Предмет: Окружающий мир,
автор: granatavova
Предмет: Математика,
автор: afdhb2
Предмет: Английский язык,
автор: axolekordz
Предмет: Литература,
автор: no1111
Предмет: Математика,
автор: dfrsd