Предмет: Математика,
автор: Аноним
Решите пожалуйста пример
Приложения:
Аноним:
с решением
Ответы
Автор ответа:
1
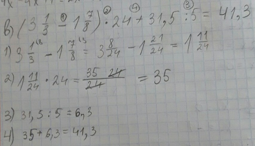
в)(3 1\3-1 7\8)*24+31,5:5=41,3
1)3 1\3-1 7\8=1 11\24.
2)1 11\24*24=35.
3)31,5:5=6,3.
4)35+6,3=41,3
1)3 1\3-1 7\8=1 11\24.
2)1 11\24*24=35.
3)31,5:5=6,3.
4)35+6,3=41,3
Автор ответа:
2
Решение на фотографии
Приложения:
Похожие вопросы
Предмет: Английский язык,
автор: Аноним
Предмет: История,
автор: aneliabekzanova71
Предмет: Информатика,
автор: mamakriminal39
Предмет: Математика,
автор: suchkovnikke
Предмет: Биология,
автор: gfnbvfn88