Предмет: География,
автор: annamodel2003p9hij8
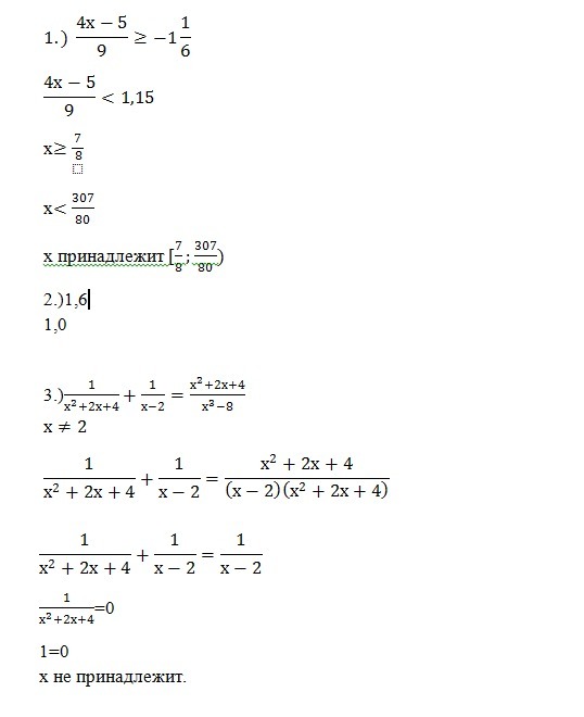
Очень прошу прям срочно. Помогите решить первый вариант без номера 4! Умоляю!
Приложения:
Ответы
Автор ответа:
0
5. Пусть 2-я труба наполняет бассейн за х часов, тогда 1-я труба наполняет бассейно за (х -18) часов. Производительность (работа за 1 час) 1-й трубы: 1/(х -18), 2-й трубы: 1/х. Их общая производительность: 1/(х -18) + 1/х.
Работая вместе, они сделали всю работу (равную 1) за 12 часов
Уравнение:
(1/(х -18) + 1/х)·12 = 1
12·(х + х - 18) = х² - 18х
х² - 42х + 216 = 0
D = 42² - 4·216 = 900
√D = 30
х₁ = (42 - 30) : 2 = 6 (не подходит по условию задачи, даже работая вместе трубы наполняют бассейн за 12 часов!)
х₂ = (42 + 30) : 2 = 36
Ответ: 2-я труба наполняет бассейн за 36 часов
Работая вместе, они сделали всю работу (равную 1) за 12 часов
Уравнение:
(1/(х -18) + 1/х)·12 = 1
12·(х + х - 18) = х² - 18х
х² - 42х + 216 = 0
D = 42² - 4·216 = 900
√D = 30
х₁ = (42 - 30) : 2 = 6 (не подходит по условию задачи, даже работая вместе трубы наполняют бассейн за 12 часов!)
х₂ = (42 + 30) : 2 = 36
Ответ: 2-я труба наполняет бассейн за 36 часов
Приложения:
Похожие вопросы
Предмет: Биология,
автор: sladkovskijarsenij
Предмет: Русский язык,
автор: ahactacir13
Предмет: Химия,
автор: grishka773
Предмет: Математика,
автор: VladMah
Предмет: Математика,
автор: Аноним