Предмет: Физика,
автор: Krusi
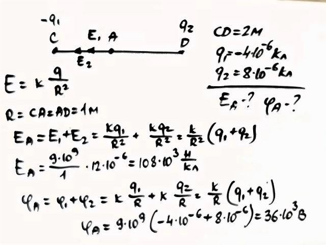
CA=AD
CD=2м
q1=-4•10^6
q2=8•10^-6
E(в точке А) =?
ф (потенциал, в точке А) =?
Приложения:
Ответы
Автор ответа:
0
CA=AD
CD=2м
q1=-4•10^6
q2=8•10^-6
E(в точке А) =?
ф (потенциал, в точке А) =?
CD=2м
q1=-4•10^6
q2=8•10^-6
E(в точке А) =?
ф (потенциал, в точке А) =?
Приложения:
Похожие вопросы
Предмет: История,
автор: igorzorya63
Предмет: География,
автор: Mariavoldaeva
Предмет: Математика,
автор: kseniabodrova47
Предмет: Химия,
автор: Strench2001
Предмет: Математика,
автор: саша1853