Предмет: Алгебра,
автор: Лол88005553555
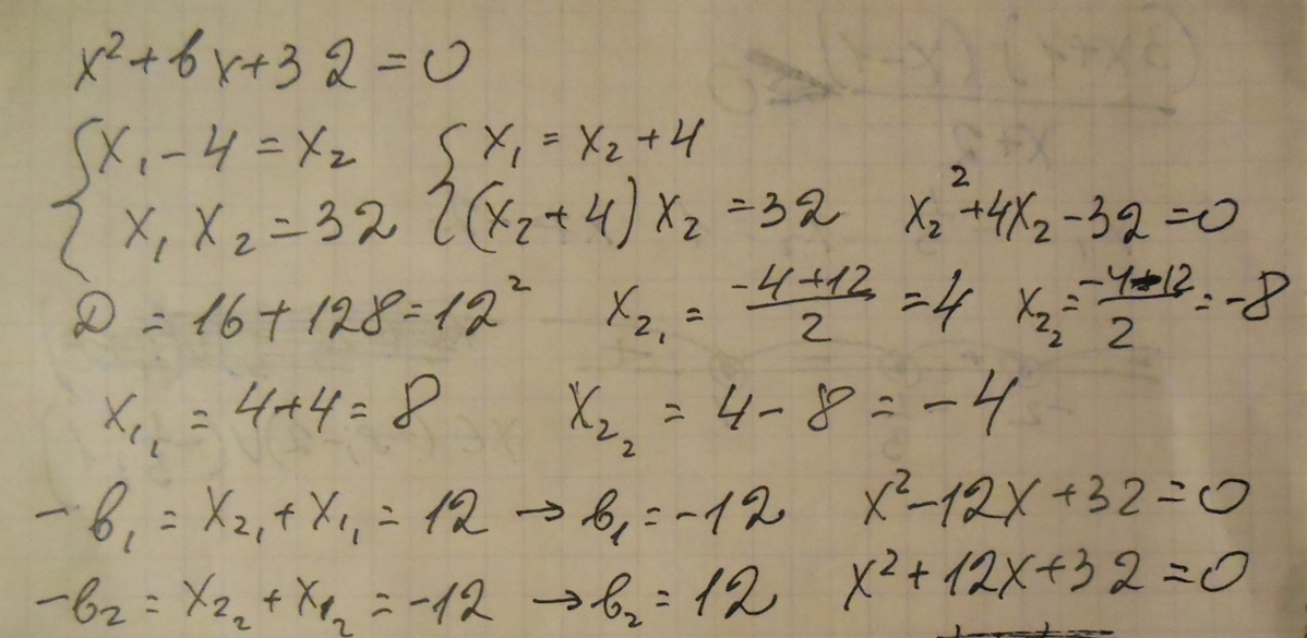
один корень уравнения х^2+bx+32=0 больше второго на 4. Найдите значение b
ПЛИЗ СКОРЕЕ
Ответы
Автор ответа:
1
По теореме виета:
Х1+х2=-б
Х1*х2=32
Отсюда х1=-8
Х2=-4
Б=-12
Х1+х2=-б
Х1*х2=32
Отсюда х1=-8
Х2=-4
Б=-12
Автор ответа:
1
!!!!!!!!!!!!!!!!!!!!!!!!!!!!!!!!!
Приложения:
Похожие вопросы
Предмет: Алгебра,
автор: listasic57
Предмет: Английский язык,
автор: Аноним
Предмет: Физика,
автор: SE1234
Предмет: Математика,
автор: MariaCake228
Предмет: Химия,
автор: marmishenka