Предмет: Математика,
автор: maximalgebra
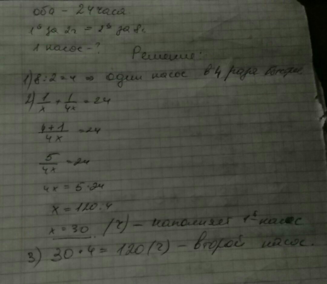
Два насоса наполняют бассейн за 24 часа, причём за 2 часа первый наполняет бассейн за такую его часть, которую второй наполняет за 8 часов. За какое число часов один второй насос сможет полностью наполнить бассейн?
[ ОТВЕТ 120, МНЕ НУЖНО ИМЕННО РЕШЕНИЕ ]
Ответы
Автор ответа:
6
ответ на фотоооооооо
Приложения:
Похожие вопросы
Предмет: Математика,
автор: kamila72673
Предмет: Геометрия,
автор: Alex123180
Предмет: Математика,
автор: vv0056727
Предмет: Литература,
автор: dkhayayov
Предмет: Математика,
автор: dmurashov