Предмет: Алгебра,
автор: kate2O3
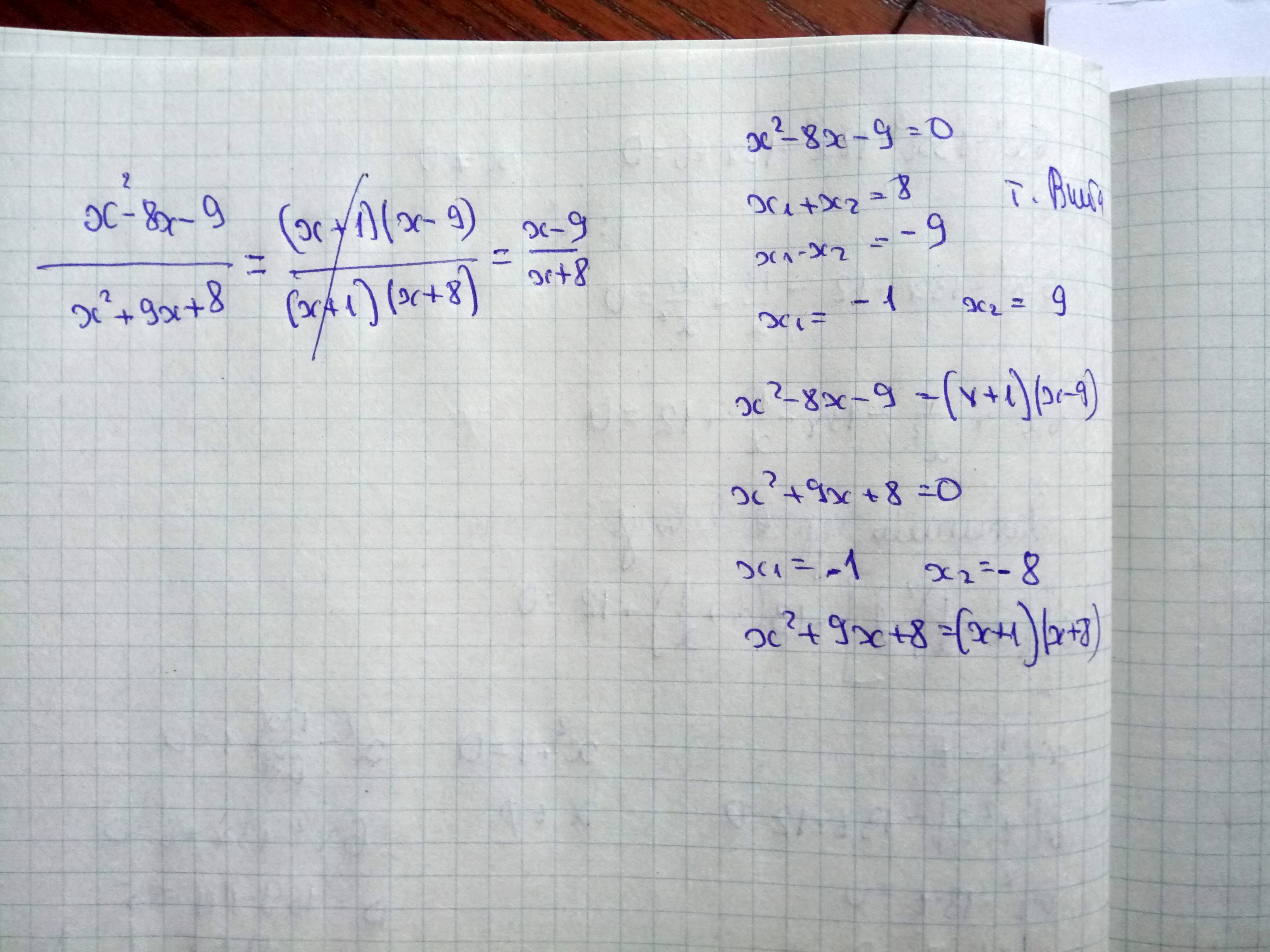
СОКРАТИТЬ ДРОБЬ ППОООООЖАААЛУУЙСТААА
Приложения:
Ответы
Автор ответа:
0
Решение задания приложено
Приложения:
Похожие вопросы
Предмет: Английский язык,
автор: sasanna450
Предмет: Русский язык,
автор: damirfiodorov
Предмет: История,
автор: daha9556
Предмет: Литература,
автор: kiska1236789