Предмет: Математика,
автор: medersu79p9a5s5
за 2 бутылки лимонада и 3 булочки заплатили 76 рублей.3 бутылки лимонада стоят столько же,сколько стоят пять булочек,сколько стоит булочка?
Ответы
Автор ответа:
0
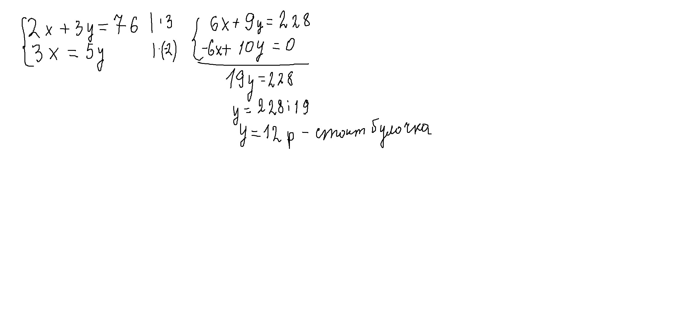
пусть бутылка лимонада стоит -х руб
1 булочка- у руб.
по условию составляем систему уравнений 2х+3у=76
3х=5у
отв. булочка стоит 12 рублей
1 булочка- у руб.
по условию составляем систему уравнений 2х+3у=76
3х=5у
отв. булочка стоит 12 рублей
Приложения:
Похожие вопросы
Предмет: География,
автор: svidovijdenis
Предмет: История,
автор: slavikk08120
Предмет: Математика,
автор: Аноним
Предмет: Химия,
автор: 2013ksenija
Предмет: Биология,
автор: Matvahaaha