Предмет: Геометрия,
автор: zavadskij44p995l0
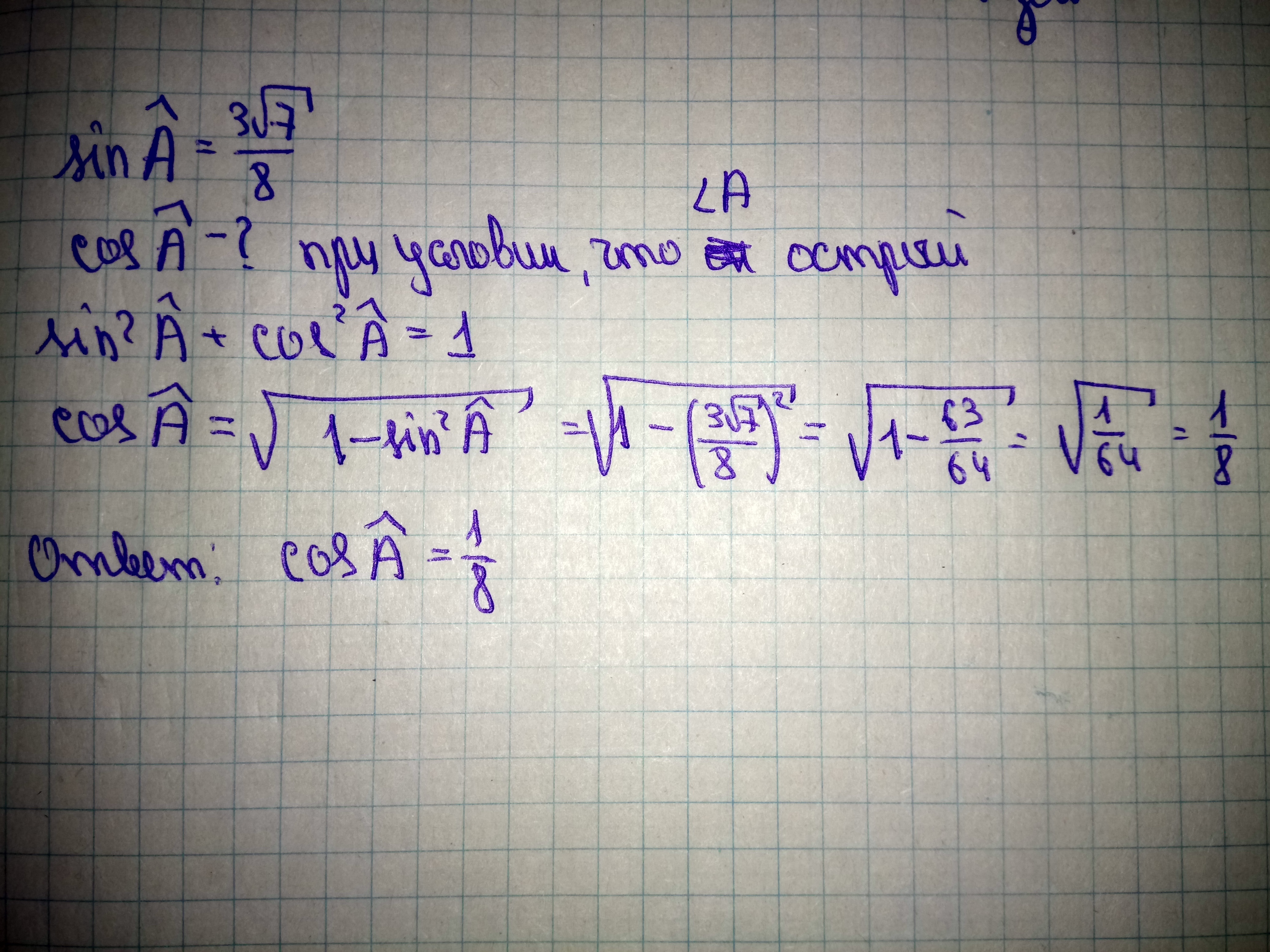
Синус острого угла A треугольника ABC равен 3√7/8. Найдите cosA
Ответы
Автор ответа:
46
Решение задания приложено
Приложения:
Похожие вопросы
Предмет: История,
автор: iamtoria
Предмет: Русский язык,
автор: ekot8210
Предмет: История,
автор: leralikee93
Предмет: Математика,
автор: Аноним
Предмет: Математика,
автор: Аноним