Предмет: Алгебра,
автор: Jenny165
Помогите решить два задания плиз
Приложения:
Ответы
Автор ответа:
1
и почему я обязательно должна что то написать.................. и ничего не говори про мой почерк.......
Приложения:
Автор ответа:
1
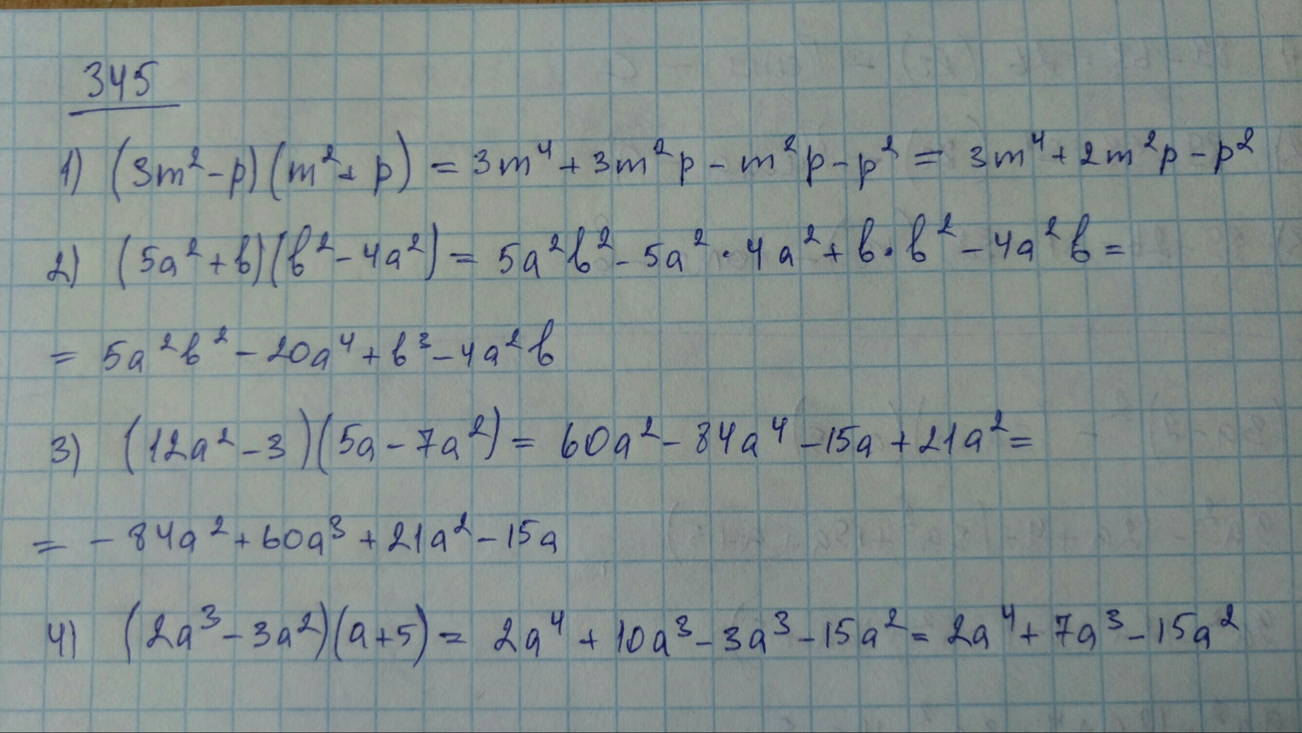
345.
1.

2.

3.

4.

347
1.

2.

3.

4.

1.
2.
3.
4.
347
1.
2.
3.
4.
Похожие вопросы
Предмет: Математика,
автор: jastmarjm
Предмет: Математика,
автор: LOLLOX999
Предмет: Русский язык,
автор: tera1979
Предмет: Математика,
автор: nik11221
Предмет: Математика,
автор: kamala2010