Предмет: Алгебра,
автор: ggggop
Упростите выражение!!!
Приложения:
Ответы
Автор ответа:
0
ВОООООООООООООООООТТТ
РЕШЕНО ПРАВИЛЬНО
РЕШЕНО ПРАВИЛЬНО
Приложения:
Автор ответа:
0
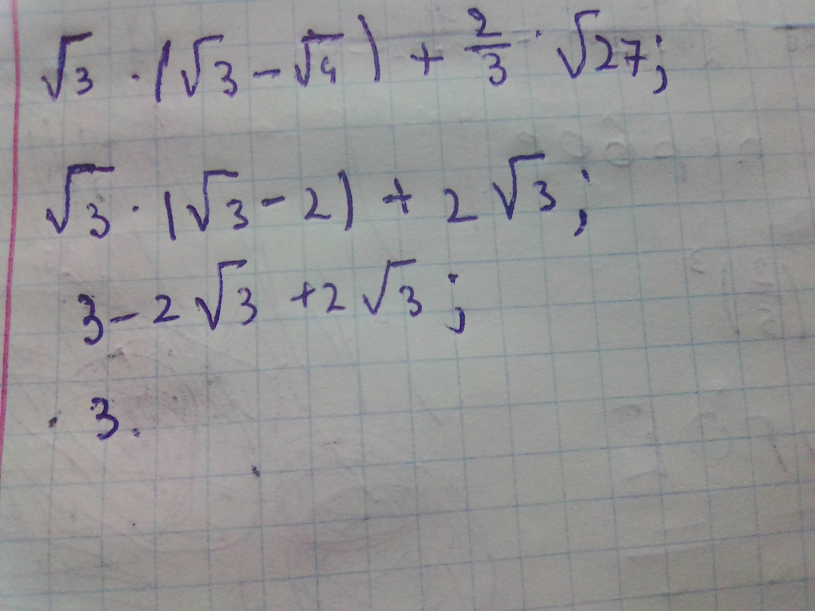
√3·(√3-√4)+(2/3)·√27= √3²-√3·√(2²)+(2/3)·√(3)³=
=3-2√3 +(2·3·√3)/3= сокращаем, получаем= 3-2√3 +2√3=3
=3-2√3 +(2·3·√3)/3= сокращаем, получаем= 3-2√3 +2√3=3
Похожие вопросы
Предмет: Математика,
автор: takliza15
Предмет: Алгебра,
автор: Lanaloud
Предмет: Алгебра,
автор: nasibalutfullaeva7
Предмет: Математика,
автор: Аноним
Предмет: Алгебра,
автор: учинеца