Предмет: Алгебра,
автор: wikiмяу
помогите! хоть что - нибудь :с
кроме способа подстановки☆
Приложения:
Ответы
Автор ответа:
1
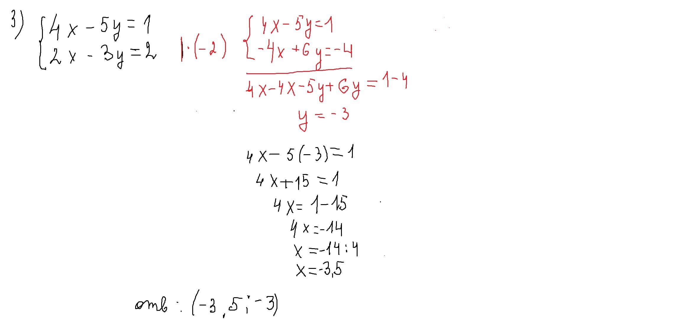
3) 4x-5y=1
2x-3y=2 /*(-2)
4x-5y=1
-4x+6y=-4
___________
y=-3
4x-5*(-3)=1
4x+15=1
4x=1-15
4x=-14
x=-14/4=-7/2 (если выделять целую часть то будет -3 целых 1/2)
2x-3y=2 /*(-2)
4x-5y=1
-4x+6y=-4
___________
y=-3
4x-5*(-3)=1
4x+15=1
4x=1-15
4x=-14
x=-14/4=-7/2 (если выделять целую часть то будет -3 целых 1/2)
wikiмяу:
пасеба, ты такой умный!!
хпхппхп
Автор ответа:
3
просили хоть что нибудь.решение 1 и 3 номера см.внизу
Приложения:
пасеба большое!!
пожалуйста
Похожие вопросы
Предмет: Биология,
автор: alexchizhov2006
Предмет: Геометрия,
автор: visnevskaaula208
Предмет: История,
автор: kamadotandziro17
Предмет: География,
автор: AlessandraMay
Предмет: Математика,
автор: teentitanstar1terra