Предмет: Математика,
автор: clicki1
Решить
1)10*(x^2-5)
2)10*x(x-5)
GERFERIES:
Чему равны уравнения? Автор, ты ничего не забыл?
Ответы
Автор ответа:
1
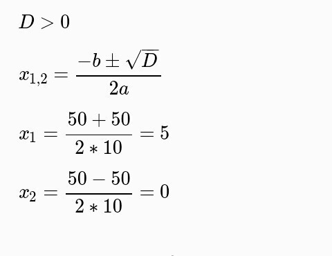
Ответы одинаковые. Смотри фото
Приложения:
А теперь вопрос... где решение?
Автор ответа:
0
удачи......................
это номер 2/\
|
номер один
х=10
-50+5х=0
5х=0+50
5х=50
х=50:5
х=10
это номер 2/\
|
номер один
х=10
-50+5х=0
5х=0+50
5х=50
х=50:5
х=10
Приложения:
Похожие вопросы
Предмет: Алгебра,
автор: nurcanpashali
Предмет: Русский язык,
автор: alexmist81
Предмет: Математика,
автор: vahabzademais462
Предмет: Математика,
автор: ViktoriaSergeev