Предмет: Алгебра,
автор: Аноним
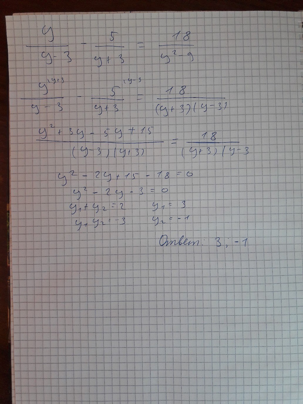
решить уравнение номер 3 В
Приложения:
Ответы
Автор ответа:
1
вот держи. удачи тебе
Приложения:
Автор ответа:
1
Решение во вложении:
☺☺☺☺☺☺☺☺☺☺ Удачи
☺☺☺☺☺☺☺☺☺☺ Удачи
Приложения:
Похожие вопросы
Предмет: Математика,
автор: nataljagalishin2015
Предмет: География,
автор: Pr0stikk
Предмет: Математика,
автор: OlEg10791
Предмет: Математика,
автор: Violetta16111
Предмет: Биология,
автор: msaid23mZe