Предмет: Математика,
автор: Лилио
Через дискреминант Срочно!!!! Помогите!!!
1
a) x(2)-4x-32
б) 2x(2)-9+4
2
x(2)+13x+40/x(2)-25= (x+8)·(x+5)/(x-5)·(x+5)=
3
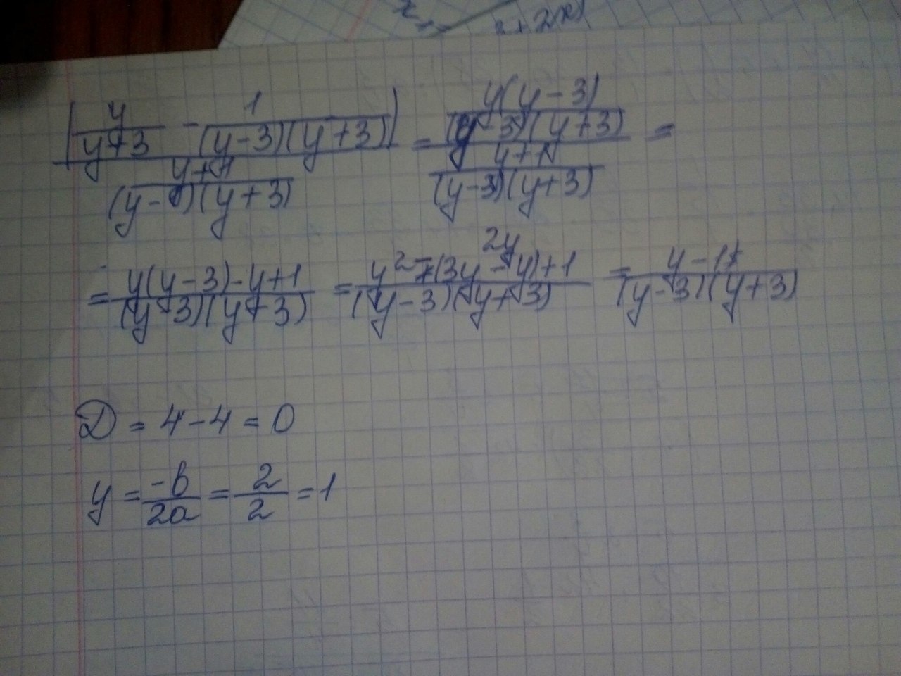
(y/y(2)+2y-3 - y-1/y(2)-9) / y+1/y(2)-4y+3
Ответы
Автор ответа:
1
1 и 2 задания
А вот что насчет 3-го я не уверена, что правильно решила,но попробовала
А вот что насчет 3-го я не уверена, что правильно решила,но попробовала
Приложения:
Похожие вопросы
Предмет: Немецкий язык,
автор: mashaperchik403
Предмет: Английский язык,
автор: danyavasya01
Предмет: Английский язык,
автор: seadetibrahimxelilov
Предмет: Математика,
автор: ArinaKrasnodar
Предмет: Биология,
автор: Ясмина091703