Предмет: Математика,
автор: X8and8Y
Пожалуйста, помогите с решением дифференциального уравнения:
y'= - (y*ln^3*y/(x+1))
Заранее благодарю за помощь!
amax777:
А можете правую часть подробнее написать? У вас там не понятно, что в степени, что в логарифме, что в скобке)
Перед дробью стоит минус. В числителе y умноженное на ln в 3-ей и умноженное на y. В заменателе x+1
а в самом логарифме что тогда? 0_о
наверное вот так тогда: y' = - y [ln(y)]^3 / (x+1) ?
Нет, в расчетке как раз таки ln^3y
Либо это опечатка, либо не знаю что
ну y в логарифме ведь стоит?
ln^3(y) = [ln(y)]^3 - это обозначение такое)
Просто вы написали, что куб логарифма умножается на y))
Ответы
Автор ответа:
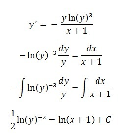
1
Общий интеграл уравнения находится легко, ну если что-то просят выразить, y(x) или x(y), то удачи =)
Приложения:
Стоило лишь мне пропустить лекцию с этой темой как сразу не понимаю что происходит. В любом случае, спасибо за помощь)))
Похожие вопросы
Предмет: История,
автор: Matimatik73
Предмет: Математика,
автор: alihansejfulla3
Предмет: Химия,
автор: diana2107
Предмет: Математика,
автор: кал7
Предмет: Литература,
автор: naska85