Предмет: Алгебра,
автор: pro100kpuctaji
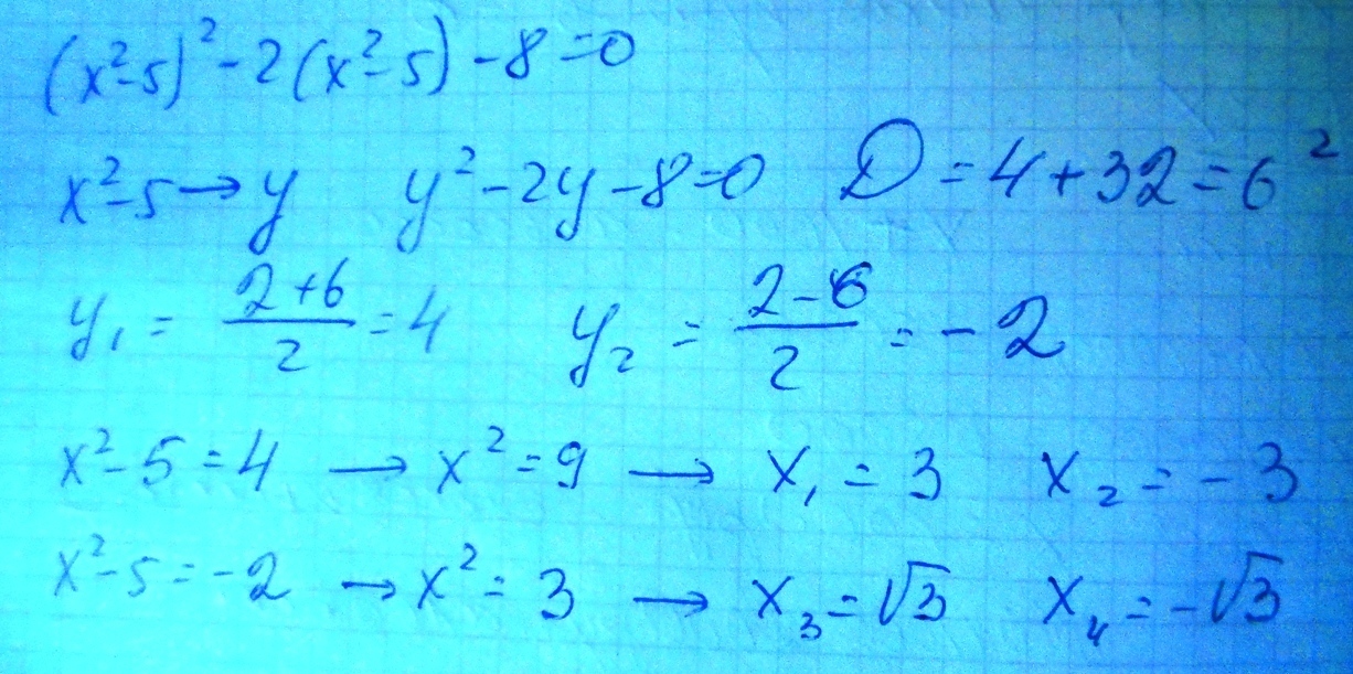
Решите уравнение (х^2–5)^2–2(х^2–5)−8=0
Ответы
Автор ответа:
5
!!!!!!!!!!!!!!!!!!!!!!!!!!!!!!
Приложения:
pro100kpuctaji:
спасибо)
пожалуйста
Похожие вопросы
Предмет: Геометрия,
автор: dhkkbgf
Предмет: Математика,
автор: davidsona
Предмет: Українська мова,
автор: sioghka1
Предмет: Математика,
автор: alim6
Предмет: Обществознание,
автор: Dashulya244