Предмет: Алгебра,
автор: elenkapetrova
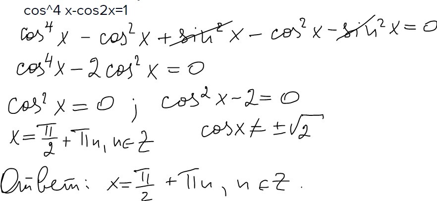
Помогите пожалуйста решить уравнение
cos^4 x-cos2x=1
Ответы
Автор ответа:
0
.............. .................. ...................... .........................
Приложения:
Похожие вопросы
Предмет: Геометрия,
автор: abobus2222222222222
Предмет: Математика,
автор: evalisenko2011
Предмет: Математика,
автор: efimkorepanor
Предмет: Физика,
автор: Дюймовочка6