Предмет: Математика,
автор: makskorabelnik1
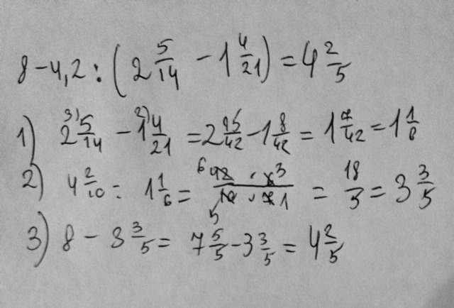
Найдите значения выражения
5 4
8-4,2:(2 - - 1 - )
14 21
Ответы
Автор ответа:
0
Дорівнює: чотири цілих дві п'ятих
Приложения:
Похожие вопросы
Предмет: Английский язык,
автор: kanalbajajsulu
Предмет: Английский язык,
автор: amangeldyasar
Предмет: История,
автор: Аноним
Предмет: Алгебра,
автор: пончик79
Предмет: Математика,
автор: mharkovskay