Предмет: Алгебра,
автор: Аноним
Решите систему уравнений!!!!!
Приложения:
Ответы
Автор ответа:
1
....................
Приложения:
Автор ответа:
1
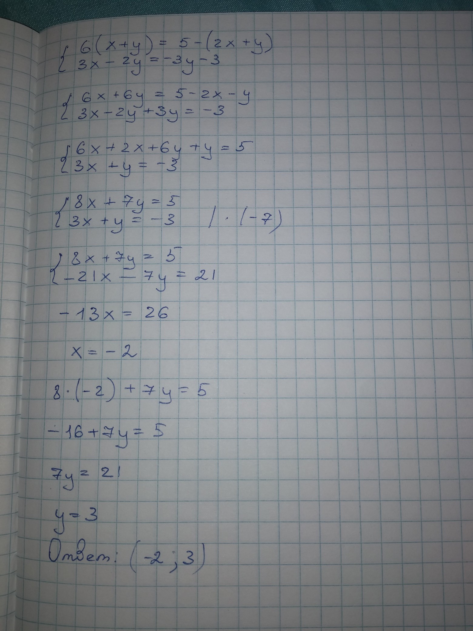
6(х+у)=5-(2х+у)
3х-2у=-3у-3
6х+6у=5-2х-у
3х-2у=-3у-3
8х+7у=5
3х+у=-3 умножаем на -7
8х+7у=5
-21х-7у=21
1)-13х=26
х=-2
2)-16+7у=5
7у=21
у=3
Ответ: (-2;3)
3х-2у=-3у-3
6х+6у=5-2х-у
3х-2у=-3у-3
8х+7у=5
3х+у=-3 умножаем на -7
8х+7у=5
-21х-7у=21
1)-13х=26
х=-2
2)-16+7у=5
7у=21
у=3
Ответ: (-2;3)
Похожие вопросы
Предмет: Другие предметы,
автор: davidenkoalona2021
Предмет: Алгебра,
автор: daurovayasmina2
Предмет: Русский язык,
автор: vladimirherepov20088
Предмет: Математика,
автор: Artemtaras