Предмет: Алгебра,
автор: 5Симка5
Помогите очень нужно!!!!!!
срочно!!!!!!
Приложения:
Ответы
Автор ответа:
0
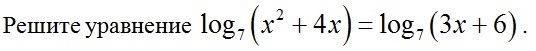
ОДЗ: x^2+4x=x(x+4)>0; x=(-∞;-4)U(0;+∞)
3x+6>0;x+2>0; x>-2
общая ОДЗ x=(0;+∞)
если у логарифмов одинаковые основания, приравняю их показатели
x^2+4x=3x+6
x^2+x-6=0
D=1+24=25
x1=(-1+5)/2=2; x2=(-1-5)/2=-3-не подходит по ОДЗ
Ответ x=2
3x+6>0;x+2>0; x>-2
общая ОДЗ x=(0;+∞)
если у логарифмов одинаковые основания, приравняю их показатели
x^2+4x=3x+6
x^2+x-6=0
D=1+24=25
x1=(-1+5)/2=2; x2=(-1-5)/2=-3-не подходит по ОДЗ
Ответ x=2
Похожие вопросы
Предмет: История,
автор: avaskg8263
Предмет: Другие предметы,
автор: bJasminka1241
Предмет: Алгебра,
автор: gorunovaanastasia621
Предмет: Математика,
автор: gemeni13