Предмет: Математика, автор: Moli456

ПОМОГИТЕ,ПОЖАЛУЙСТА!!!
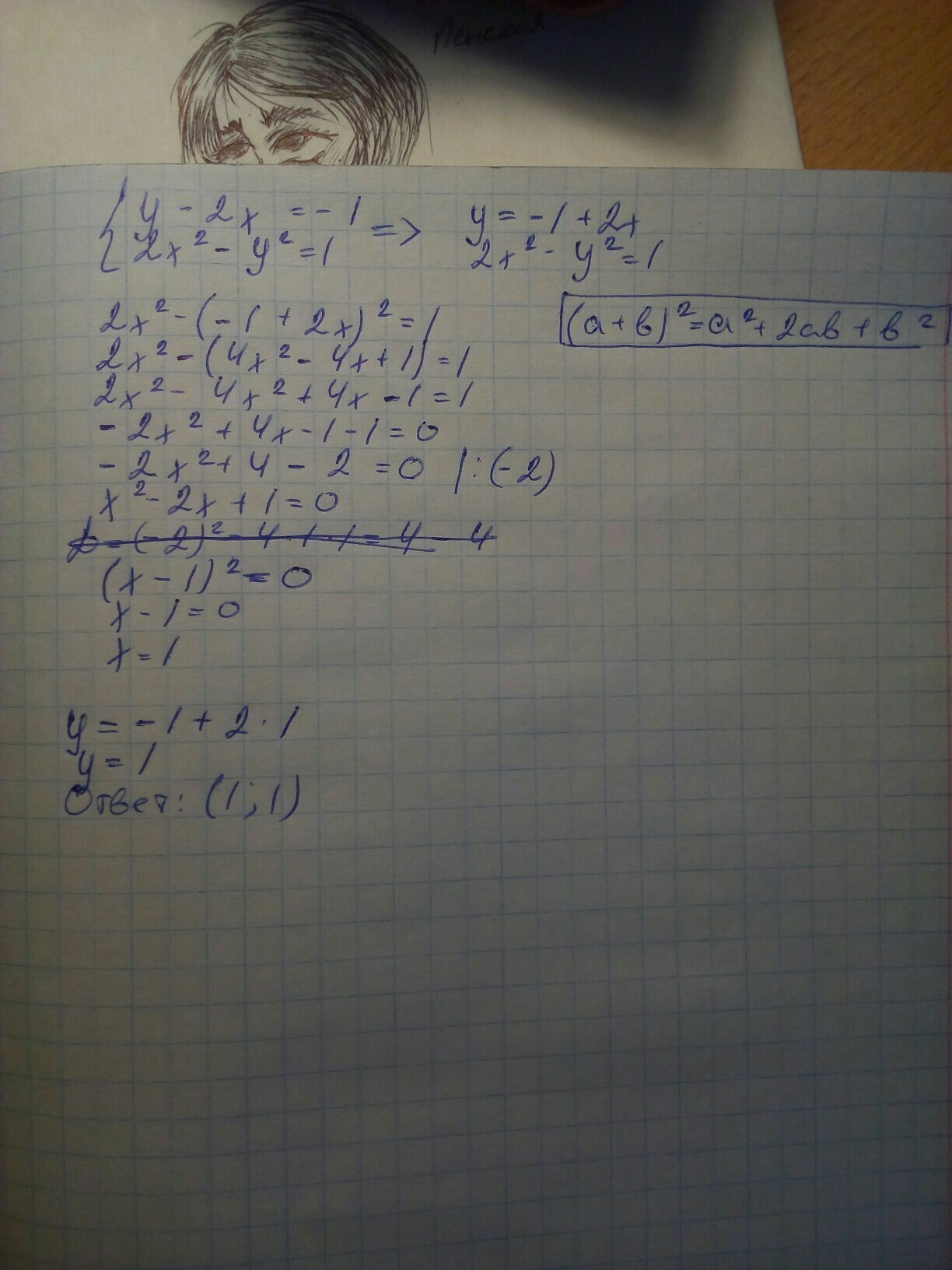
решите систему уравнений:
y-2x=-1
2x²-y²=1


VovanLK: 1) x-y=4, 2) x-y=-4.

1) x=1, y=-3; 2) x=-3, y=1.

Ответы

Автор ответа: VovanLK
0
1) x-y=4, 2) x-y=-4.

1) x=1, y=-3; 2) x=-3, y=1.

Moli456: А откуда 4??И что за способ(ну там подстановка или тип того)?
Автор ответа: Виталя0002
2
Получите, распишитесь
Приложения:

Moli456: Блин,спасибо огромное!!!)
Похожие вопросы
Предмет: Физика, автор: sakura5566
Предмет: Алгебра, автор: samatvildanov06
Предмет: Математика, автор: умник650
Предмет: Алгебра, автор: PuOnEr4ik