Предмет: Алгебра,
автор: Pyx001hjs
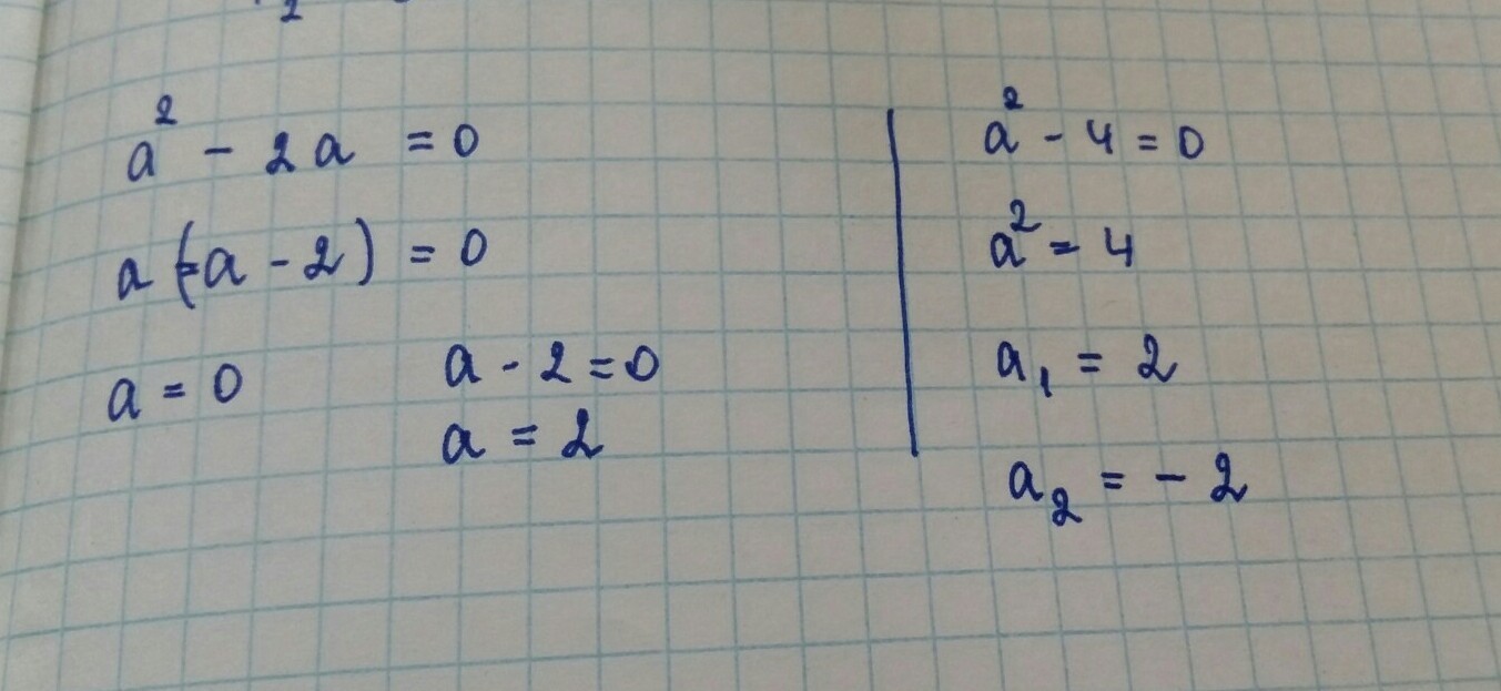
a²- 2a
----------
a²-4
apoliewp3hhap:
Или это дробь?
Тогда выносишь в числителе за скобку a, а знаменатель раскладываешь как разность квадратов (a-2)(a+2). Сокращаешь (a-2), остаётся a/(a+2)
Ответы
Автор ответа:
0
Смотри прикрепленную фотографию
Приложения:
Похожие вопросы
Предмет: Литература,
автор: tyanka3000
Предмет: Қазақ тiлi,
автор: toregalialiser2010
Предмет: Алгебра,
автор: geteh20733
Предмет: Литература,
автор: Катенька2005
Предмет: Математика,
автор: facja