Предмет: Математика,
автор: MrWolfy
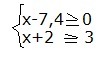
Решите систему неравенств (пример во вложении).
Приложения:
Ответы
Автор ответа:
1
Решение системы:
Х⩾7,4
Х⩾1
Х⩾7,4
Х⩾1
Приложения:
Похожие вопросы
Предмет: Литература,
автор: varu13cards8
Предмет: Алгебра,
автор: aleksej796074888
Предмет: Геометрия,
автор: sofaraskosnaa2737894
Предмет: Математика,
автор: митаеик
Предмет: Информатика,
автор: balakshinanast